Open Access

Fig. 11

image

Download original image

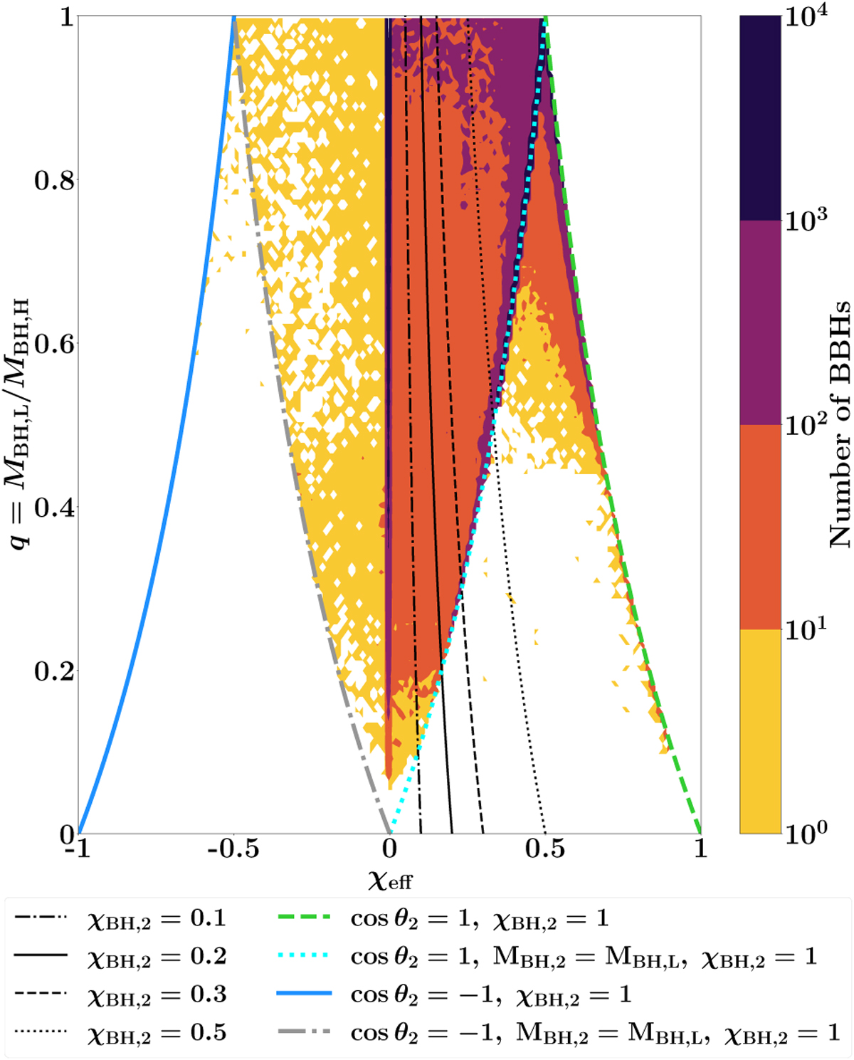
Mass ratio q = MBH, L/MBH, H of the lighter-to-heavier BH and effective spin parameter χeff for all BBHs produced in the 96 sets simulated in this work (Section 2). Colored thick lines indicate the analytic relations (Equation (7)) that delimit the allowed parameter space for maximally spinning (χ2 = 1) second-born BH, for spins aligned (cos θ2 = 1) or anti-aligned (cos θ2 = −1) with the binary orbital angular momentum. Black thin lines show the analytic relation expected for low spinning (χ2 ∼ 0.1–0.5) and aligned (cos θ2 = 1) second-born BH. The analytic relations assume that the second-born BH is the heaviest one (MBH, 2 = MBH, H), unless different specifications.

Current usage metrics show cumulative count of Article Views (full-text article views including HTML views, PDF and ePub downloads, according to the available data) and Abstracts Views on Vision4Press platform.

Data correspond to usage on the plateform after 2015. The current usage metrics is available 48-96 hours after online publication and is updated daily on week days.

Initial download of the metrics may take a while.