Open Access

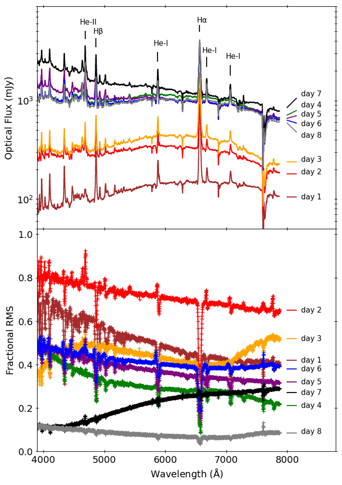
Fig. 1.

image

Download original image

Flux-averaged (top) and fractional rms (bottom) spectra for the eight epochs included in this study. In the top panel, we mark the main lines that will be analysed and discussed in this paper: He I lines at ∼5876, 6678 and 7065 Å, He II-4686, Hα and Hβ.

Current usage metrics show cumulative count of Article Views (full-text article views including HTML views, PDF and ePub downloads, according to the available data) and Abstracts Views on Vision4Press platform.

Data correspond to usage on the plateform after 2015. The current usage metrics is available 48-96 hours after online publication and is updated daily on week days.

Initial download of the metrics may take a while.