Open Access

Fig. 4.

image

Download original image

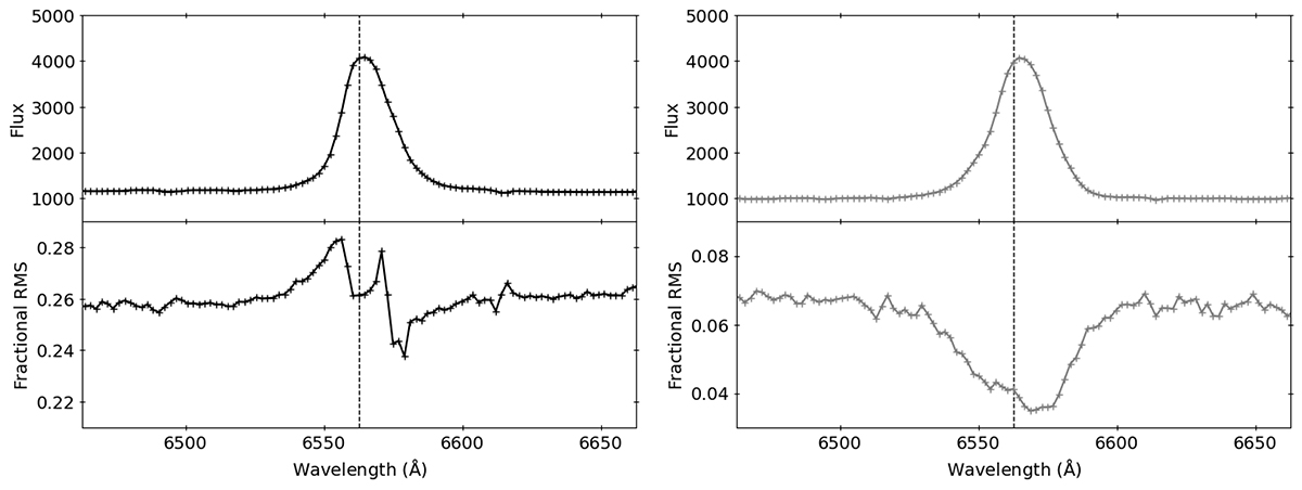
Detailed rms and flux spectra of Hα for day 7 (left) and day 8 (right). While the flux absorption in the blue part of the line is mild, the asymmetry in the rms spectrum is evident.

Current usage metrics show cumulative count of Article Views (full-text article views including HTML views, PDF and ePub downloads, according to the available data) and Abstracts Views on Vision4Press platform.

Data correspond to usage on the plateform after 2015. The current usage metrics is available 48-96 hours after online publication and is updated daily on week days.

Initial download of the metrics may take a while.