Open Access

Fig. 12

image

Download original image

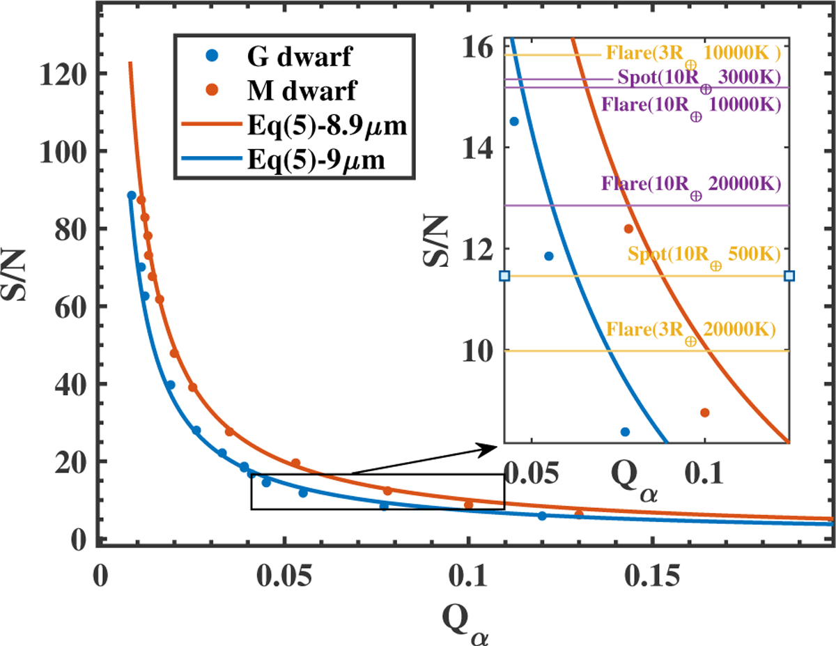
Relationship between the impact of stellar activity on the S/N for detecting exoplanets around G dwarf (blue points) and M dwarf stars (red points) and the positional measurement error Qα of the planet. The solid line indicates the theoretical value from Eq. (6) at 8.9 µm (red) and 9 µm (blue). The horizontal solid lines correspond to the S/N of detecting exoplanets around G dwarf (purple) and M dwarf (yellow) for stellar activity with a specific radiation region radius and intensity.

Current usage metrics show cumulative count of Article Views (full-text article views including HTML views, PDF and ePub downloads, according to the available data) and Abstracts Views on Vision4Press platform.

Data correspond to usage on the plateform after 2015. The current usage metrics is available 48-96 hours after online publication and is updated daily on week days.

Initial download of the metrics may take a while.