Open Access

Fig. 14

image

Download original image

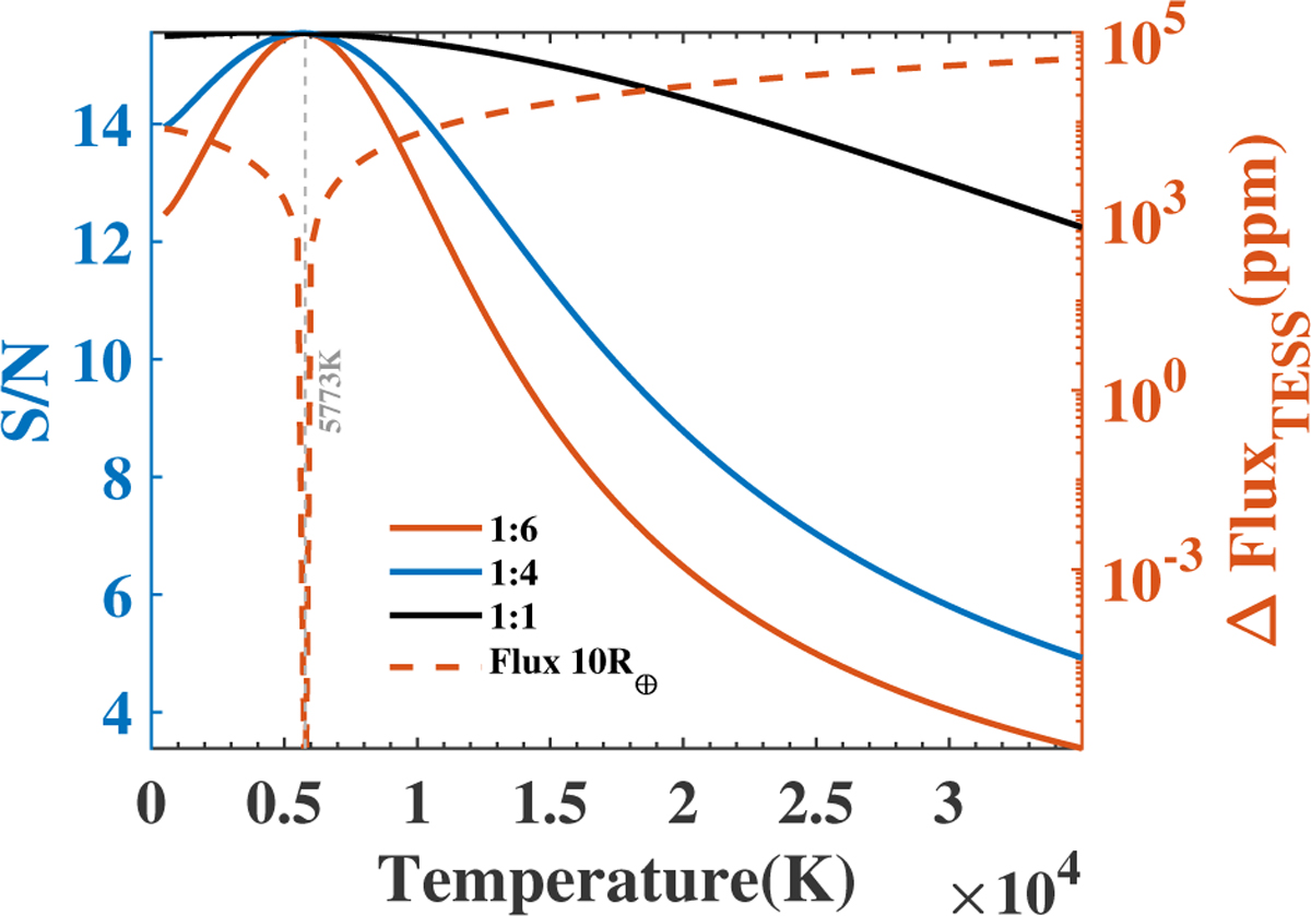
Impact of stellar activity on the S/N for detecting habitable planets in G-type star systems.Line: The S/N for detecting habitable planets with the X array when the baseline length ratio is 1 (black), 4 (blue), and 6 (red). Red dashed line: Relative flux of stellar activity. The active regions have a radius of 10 R⊕ , and are fixed at (0.5 RS ,0.5 RS).

Current usage metrics show cumulative count of Article Views (full-text article views including HTML views, PDF and ePub downloads, according to the available data) and Abstracts Views on Vision4Press platform.

Data correspond to usage on the plateform after 2015. The current usage metrics is available 48-96 hours after online publication and is updated daily on week days.

Initial download of the metrics may take a while.