Open Access

Fig. 5

image

Download original image

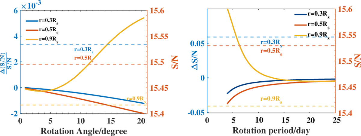
The impact of stellar activity from a Jupiter-sized flare of 10 000 K, considering its position shift on the stellar disc during rotation. Left: effect of the Rotation Angle on S/N. Right: variation in the S/N due to stellar rotation period by setting a total exposure time of 20 000 s. Here, ΔS/N represents the difference between the S/N with and without stellar rotation, while S/N denotes the S/N in the presence of stellar activity without rotations. The dashed blue, red, and yellow lines indicate the S/N of the stellar activity region with different distances from the stellar center (i.e., 0.3, 0.5, and 0.9 Rs) by setting α0 = β0, respectively. The solid blue, red, and yellow lines represent ΔS/NS/N${{\Delta S/N} \over {S/N}}$ at the same distances.

Current usage metrics show cumulative count of Article Views (full-text article views including HTML views, PDF and ePub downloads, according to the available data) and Abstracts Views on Vision4Press platform.

Data correspond to usage on the plateform after 2015. The current usage metrics is available 48-96 hours after online publication and is updated daily on week days.

Initial download of the metrics may take a while.