Open Access

Fig. 1

image

Download original image

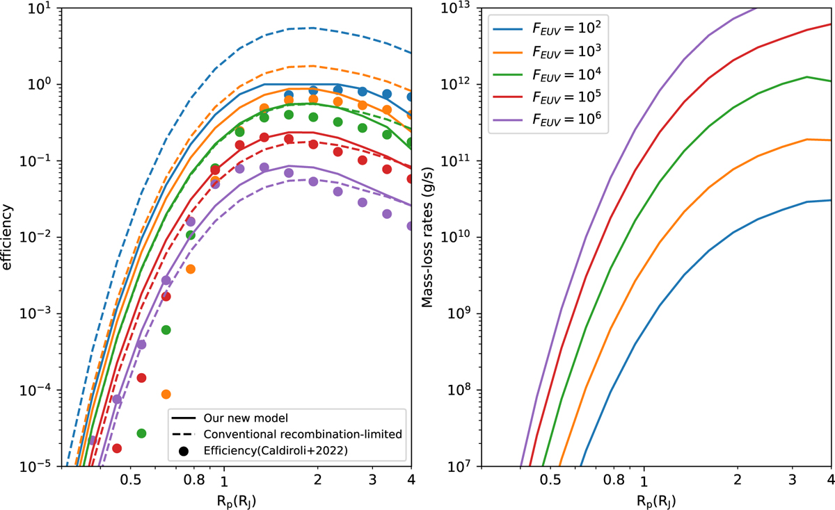
Estimated efficiencies (left) and mass-loss rates (right) for fixed planetary mass Mp = 0.7 MJ but different EUV fluxes, from FEUV = 100erg/s/cm2 (red) to FEUV = 106 erg/s/cm2 (orange). The efficiency of the traditional recombination-limited approach is shown with dashed curves. In the intense EUV flux case, our model predictions are almost the same as the traditional approach (orange and purple). The fitted efficiencies from detailed 1D simulations by Caldiroli et al. (2021) are shown as points. Some points of the strong-gravity case (Mp > 20 MJ) cannot be seen in this panel due to the low efficiency.

Current usage metrics show cumulative count of Article Views (full-text article views including HTML views, PDF and ePub downloads, according to the available data) and Abstracts Views on Vision4Press platform.

Data correspond to usage on the plateform after 2015. The current usage metrics is available 48-96 hours after online publication and is updated daily on week days.

Initial download of the metrics may take a while.