Open Access

Fig. 5

image

Download original image

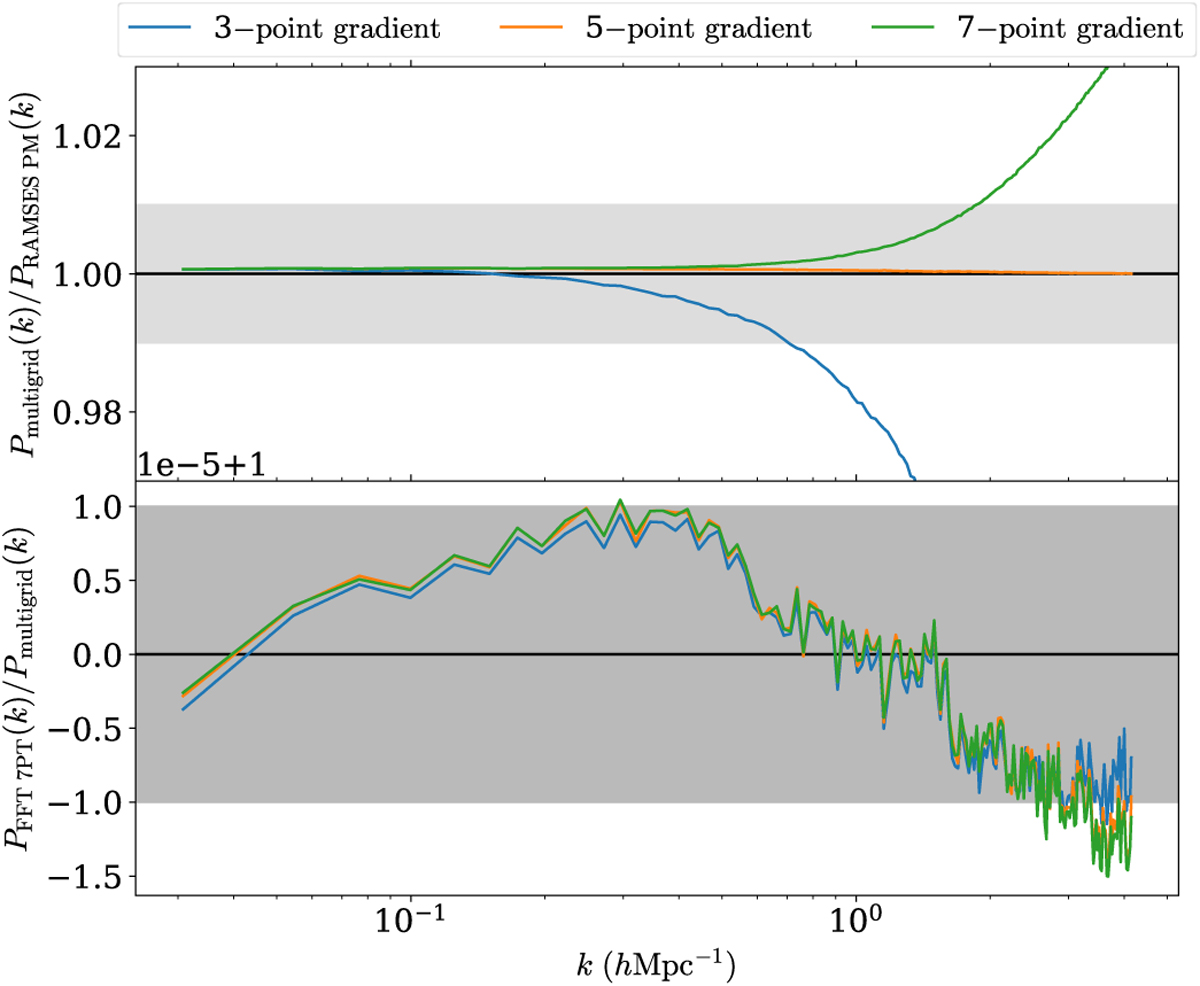
Top panel: ratio of the power spectrum for three-, five- and seven-point gradient in blue, orange and green lines respectively using multigrid, with respect to RAMSES (with AMR disabled and also using multigrid). Because RAMSES does not stop exactly at z = 0 we rescaled its power spectrum the linear growth factor. The grey shaded area show the ±1% limits. Bottom panel: ratio of the power spectrum using the PySCo FFT_7pt solver w.r.t PySCo multigrid. The dark grey shaded area show the 10–5 limits. In any case we use a TSC algorithm.

Current usage metrics show cumulative count of Article Views (full-text article views including HTML views, PDF and ePub downloads, according to the available data) and Abstracts Views on Vision4Press platform.

Data correspond to usage on the plateform after 2015. The current usage metrics is available 48-96 hours after online publication and is updated daily on week days.

Initial download of the metrics may take a while.