Open Access

Fig. 8

image

Download original image

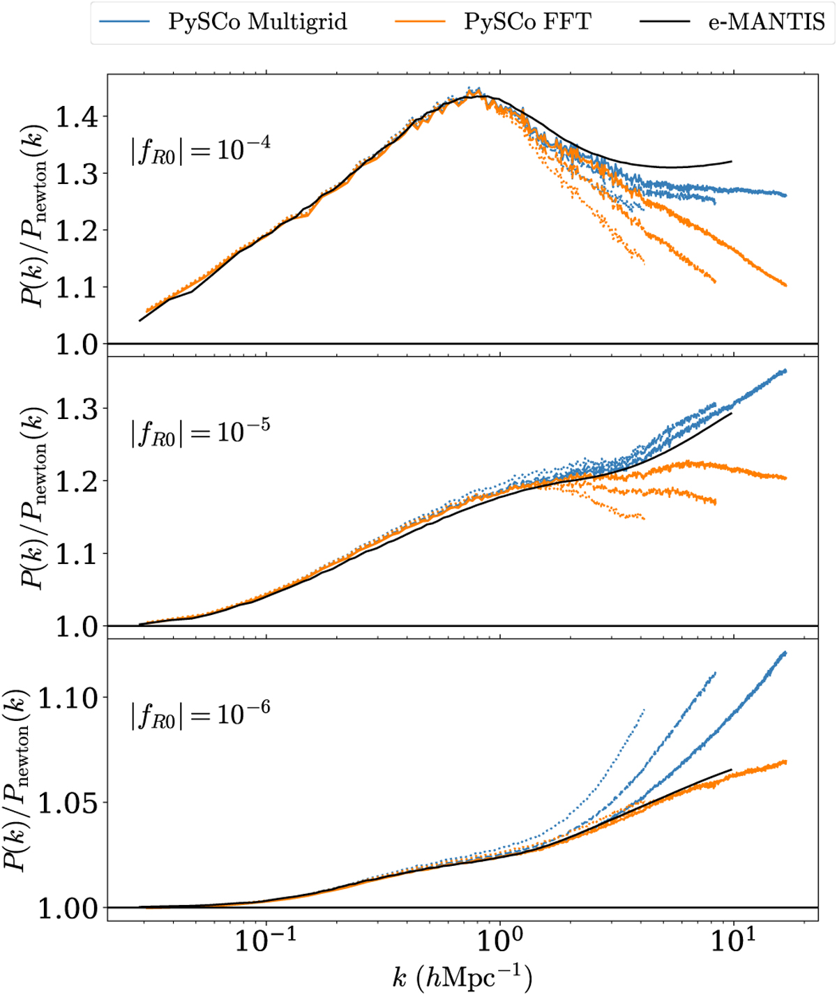
Power spectrum boost from f (R) gravity w.r.t. to the Newtonian case. Blue and orange lines refer respectively to multigrid and FFT Poisson solvers with PySCo (in any case, the scalaron field equation is solved with non-linear multigrid), while black lines show the e-MANTIS emulator. In dotted, dashed and solid lines we use ncells = 5123, 10243 and 20483. Top, middle and bottom panels have the values |fR0| = 10–4, 10–5 and 10–6. In any case we use a seven-point gradient operator.

Current usage metrics show cumulative count of Article Views (full-text article views including HTML views, PDF and ePub downloads, according to the available data) and Abstracts Views on Vision4Press platform.

Data correspond to usage on the plateform after 2015. The current usage metrics is available 48-96 hours after online publication and is updated daily on week days.

Initial download of the metrics may take a while.