Open Access

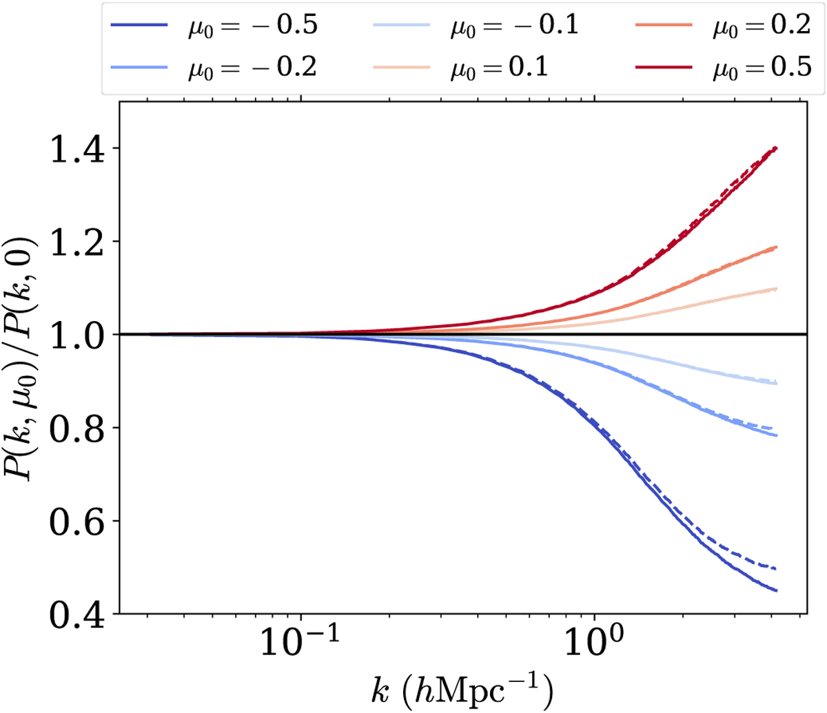
Fig. 9

image

Download original image

Power spectrum boost from parametrised gravity w.r.t to the Newtonian case (µ0 = 0). Coloured lines refer to different values of µ0, while solid and dashed lines indicates the use of FFT and multigrid solvers respectively.

Current usage metrics show cumulative count of Article Views (full-text article views including HTML views, PDF and ePub downloads, according to the available data) and Abstracts Views on Vision4Press platform.

Data correspond to usage on the plateform after 2015. The current usage metrics is available 48-96 hours after online publication and is updated daily on week days.

Initial download of the metrics may take a while.