Open Access

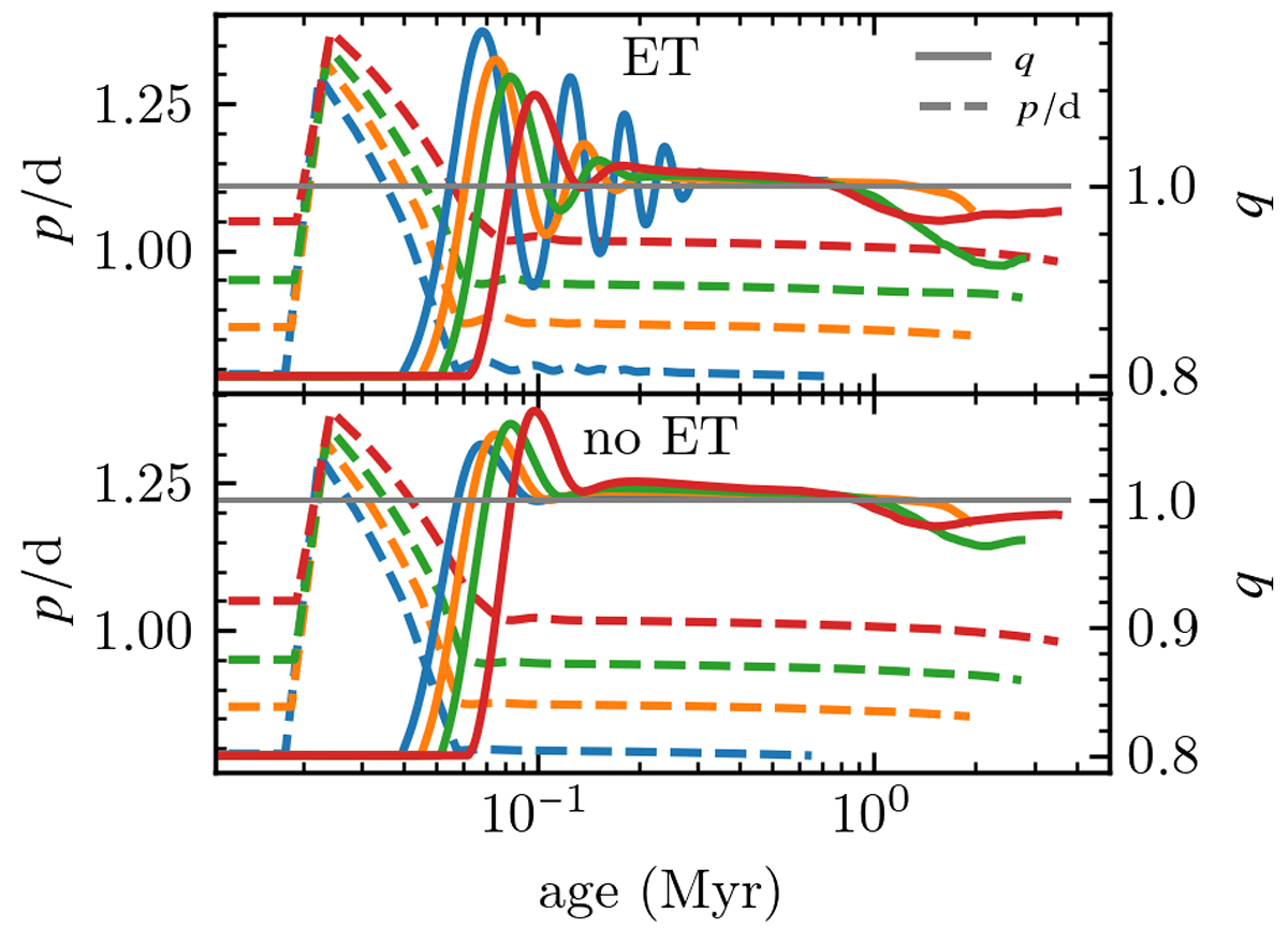
Fig. A.1.

image

Download original image

Period and mass-ratio evolution of the M1,init = 20 M models with qinit = 0.8 that experience RLOF at the ZAMS. The initial period of these models can be read off from the intersection with the left y-axis. All models interact before reaching their assumed initial period, meaning strong interaction on the PMS is expected.

Current usage metrics show cumulative count of Article Views (full-text article views including HTML views, PDF and ePub downloads, according to the available data) and Abstracts Views on Vision4Press platform.

Data correspond to usage on the plateform after 2015. The current usage metrics is available 48-96 hours after online publication and is updated daily on week days.

Initial download of the metrics may take a while.