Open Access

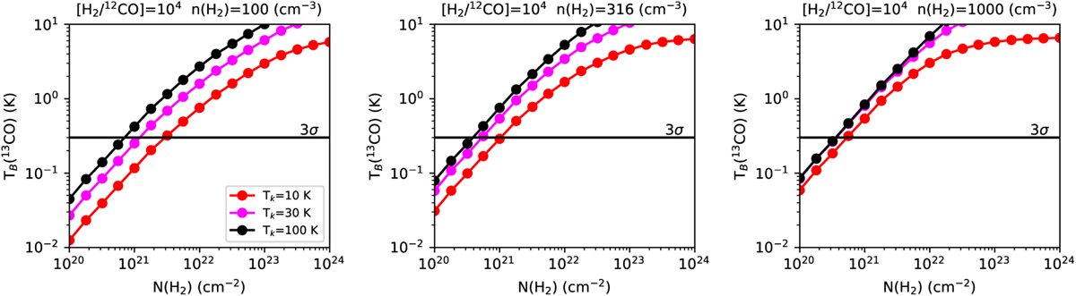
Fig. 5

image

Download original image

Model 13CO J=1–0 brightness temperatures as a function of H2 column density for volume densities 100, 316, 1000 cm−3, gas kinetic temperatures 10, 30, 100 K, [H2/12CO]=104, and a line width of 11 km s−1. We assume a 12C to 13C abundance ratio of 13.25 (Jacob et al. 2020). The horizontal black line marks the 3σ threshold for the observed peak 13CO brightness temperature from which upper limits on the H2 column density for each model are estimated.

Current usage metrics show cumulative count of Article Views (full-text article views including HTML views, PDF and ePub downloads, according to the available data) and Abstracts Views on Vision4Press platform.

Data correspond to usage on the plateform after 2015. The current usage metrics is available 48-96 hours after online publication and is updated daily on week days.

Initial download of the metrics may take a while.