Open Access

Fig. 15

image

Download original image

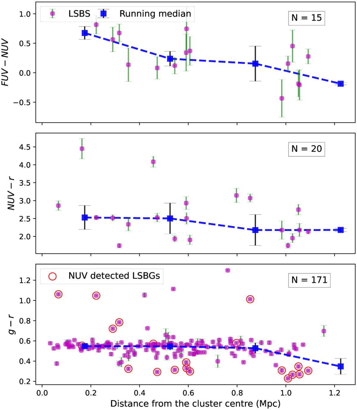
FUVNUV (top panel), NUVr (middle panel) and gr (bottom panel) colours of the LSBGs presented in this work as a function of cluster centric distance. The number of LSBGs used is also shown in each subplot since not all the LSBGs had 3σ detection in NUV and FUV bands.

Current usage metrics show cumulative count of Article Views (full-text article views including HTML views, PDF and ePub downloads, according to the available data) and Abstracts Views on Vision4Press platform.

Data correspond to usage on the plateform after 2015. The current usage metrics is available 48-96 hours after online publication and is updated daily on week days.

Initial download of the metrics may take a while.