Open Access

This article has an erratum: [https://doi.org/10.1051/0004-6361/202556797e]


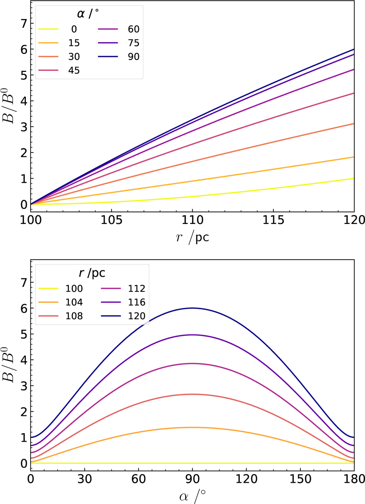
Fig. 2

image

Download original image

Dependence of the amplification factor of the magnetic field in the shell of a spherical bubble as a function of the radial distance (top) and as a function of the angle α between the radial unit vector and the direction of the initial magnetic field (bottom), for several values of α and r, respectively. In this example, Rmin = 100 pc and Rmax = 120 pc.

Current usage metrics show cumulative count of Article Views (full-text article views including HTML views, PDF and ePub downloads, according to the available data) and Abstracts Views on Vision4Press platform.

Data correspond to usage on the plateform after 2015. The current usage metrics is available 48-96 hours after online publication and is updated daily on week days.

Initial download of the metrics may take a while.