Open Access

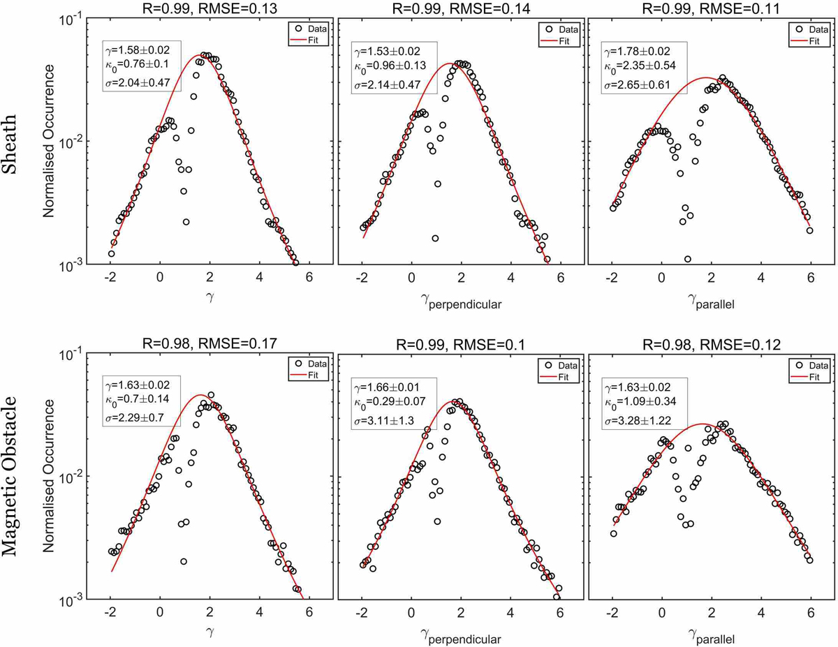
Fig. 2.

image

Download original image

Enriched histograms of the normalised occurrence (black circles) and κ-Gaussian distributions (red solid lines) of the (left to right) total, perpendicular, and parallel γ. The top and bottom panels correspond to ICME sheaths and MOs, respectively. At the top of each panel, the Pearson R and the RMSE of the fitted κ-Gaussian versus the normalised histogram values are also shown.

Current usage metrics show cumulative count of Article Views (full-text article views including HTML views, PDF and ePub downloads, according to the available data) and Abstracts Views on Vision4Press platform.

Data correspond to usage on the plateform after 2015. The current usage metrics is available 48-96 hours after online publication and is updated daily on week days.

Initial download of the metrics may take a while.