Open Access

Fig. 12

image

Download original image

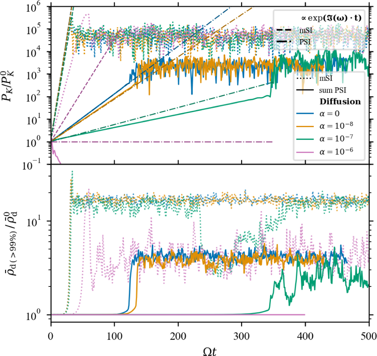
Time evolution of the mSI (runs: [mSI*, mSIα,1e−8, mSIα,1e−7, mSIα,1e−6]) are shown with dotted lines and PSI (runs: [PSI*, PSIα, 1e−8, PSIα,1e−7, PSIα, 1e−6]) are shown with solid lines for different dust diffusion coefficients α. The colour indicates the diffusion coefficient, where no diffusion is shown in blue, α = 10−8 in orange, α = 10−7 in green, and α = 10−8 in pink. The top plot shows the amplitude of the largest mode in the shearing box (A sinusoid with wavenumber Kx,z = 30), and the dashed lines and dash-dotted lines show the analytical results calculated with psitools for the corresponding α. The bottom plot shows the normalised mean density at the 99th percentile for every snapshot.

Current usage metrics show cumulative count of Article Views (full-text article views including HTML views, PDF and ePub downloads, according to the available data) and Abstracts Views on Vision4Press platform.

Data correspond to usage on the plateform after 2015. The current usage metrics is available 48-96 hours after online publication and is updated daily on week days.

Initial download of the metrics may take a while.