Open Access

Fig. 17

image

Download original image

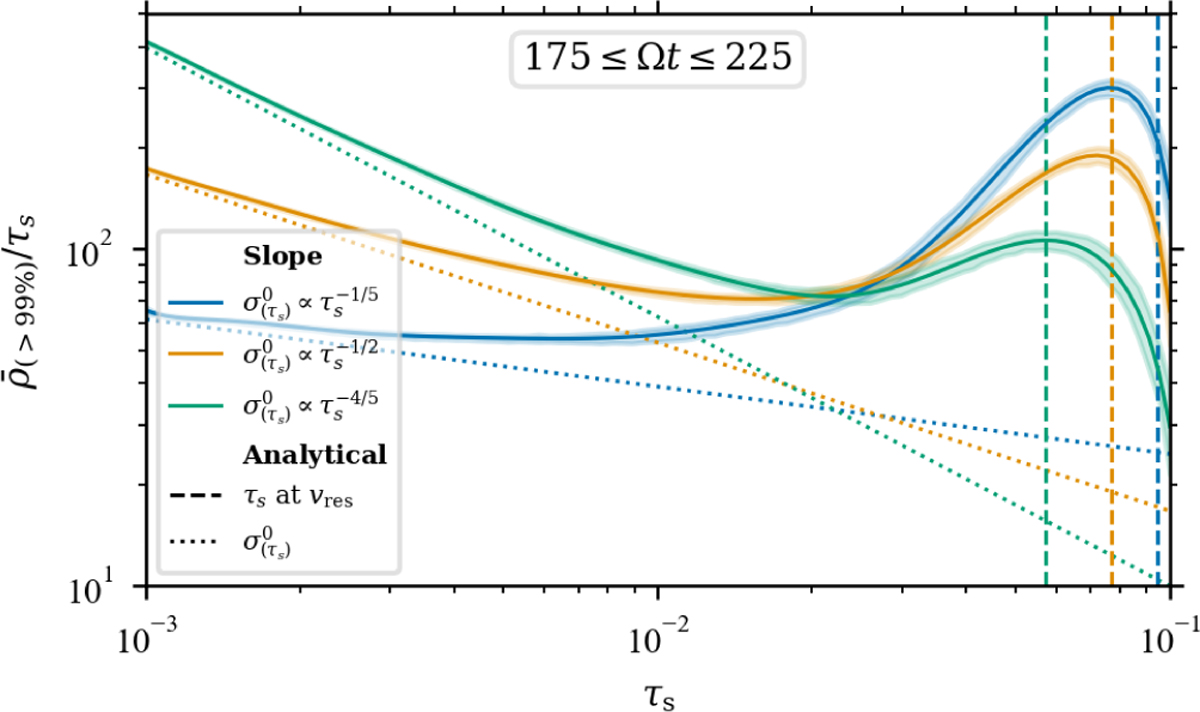
Mean size distribution at the 99th percentile and between 175 ≤ Ωt ≤ 225 for different power law slopes with β = −3.2 (run PSIβ,−3.2) in blue, β = −3.5 (run PSI10) in orange, and β = −3.8 (run PSIβ,−3.8) in green.

Current usage metrics show cumulative count of Article Views (full-text article views including HTML views, PDF and ePub downloads, according to the available data) and Abstracts Views on Vision4Press platform.

Data correspond to usage on the plateform after 2015. The current usage metrics is available 48-96 hours after online publication and is updated daily on week days.

Initial download of the metrics may take a while.