Open Access

Fig. 6

image

Download original image

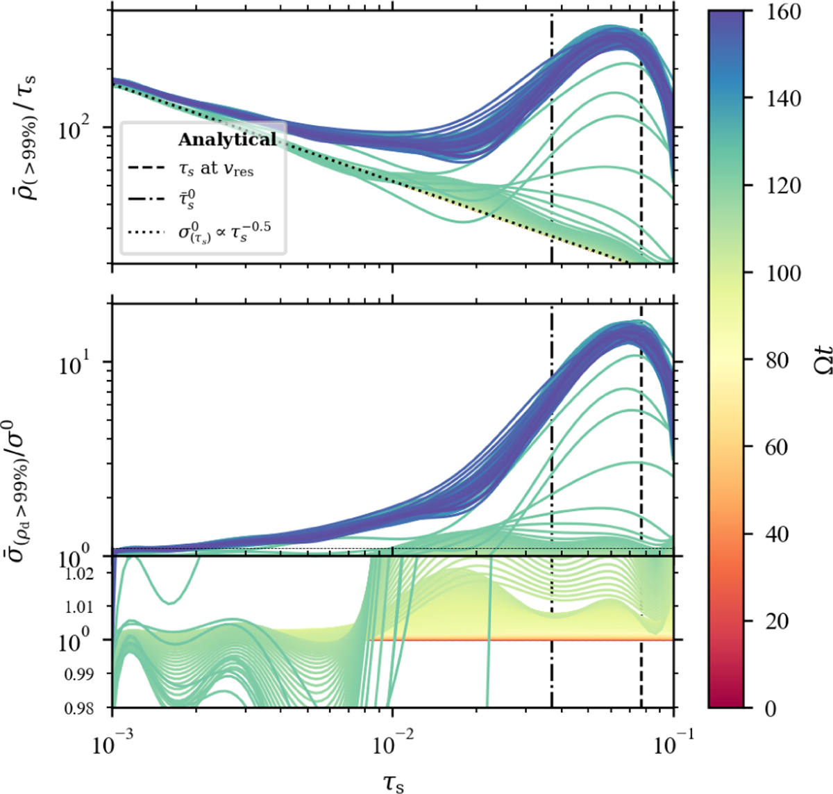
Top: mean size distribution in the 99th percentile at different times. The dotted line indicates the size distribution at Ωt = 0. Bottom: same size distribution normalised by the background-size distribution σ0(τs). The dashed line indicates the Stokes number corresponding to the resonant velocity, and the dot-dashed line is the average Stokes number of the size distribution at Ωt = 0.

Current usage metrics show cumulative count of Article Views (full-text article views including HTML views, PDF and ePub downloads, according to the available data) and Abstracts Views on Vision4Press platform.

Data correspond to usage on the plateform after 2015. The current usage metrics is available 48-96 hours after online publication and is updated daily on week days.

Initial download of the metrics may take a while.