Open Access

Fig. B.2

image

Download original image

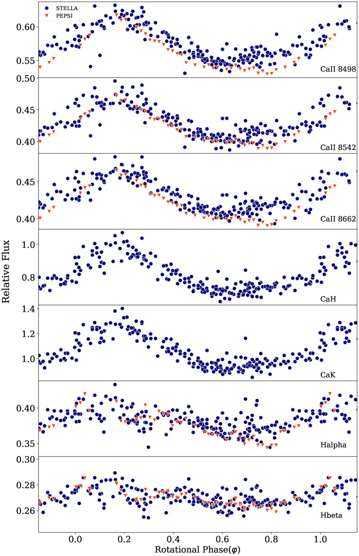
Phase folded chromospheric activity tracers for the time period January 2021 to July 2022. From top to bottom: Ca II IRT, Ca II H&K, Hα, and Hβ. Only relative fluxes are plotted.

Current usage metrics show cumulative count of Article Views (full-text article views including HTML views, PDF and ePub downloads, according to the available data) and Abstracts Views on Vision4Press platform.

Data correspond to usage on the plateform after 2015. The current usage metrics is available 48-96 hours after online publication and is updated daily on week days.

Initial download of the metrics may take a while.