Open Access

Fig. 4

image

Download original image

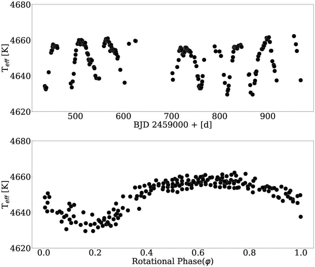
Effective temperature of λ And from ParSES. Upper panel: plot versus time throughout the 522d of observation in 2021-2022. Lower panel: plot versus rotational phase. Folding is done with the rotational period from the RV jitter of 54.4 d.

Current usage metrics show cumulative count of Article Views (full-text article views including HTML views, PDF and ePub downloads, according to the available data) and Abstracts Views on Vision4Press platform.

Data correspond to usage on the plateform after 2015. The current usage metrics is available 48-96 hours after online publication and is updated daily on week days.

Initial download of the metrics may take a while.