Open Access

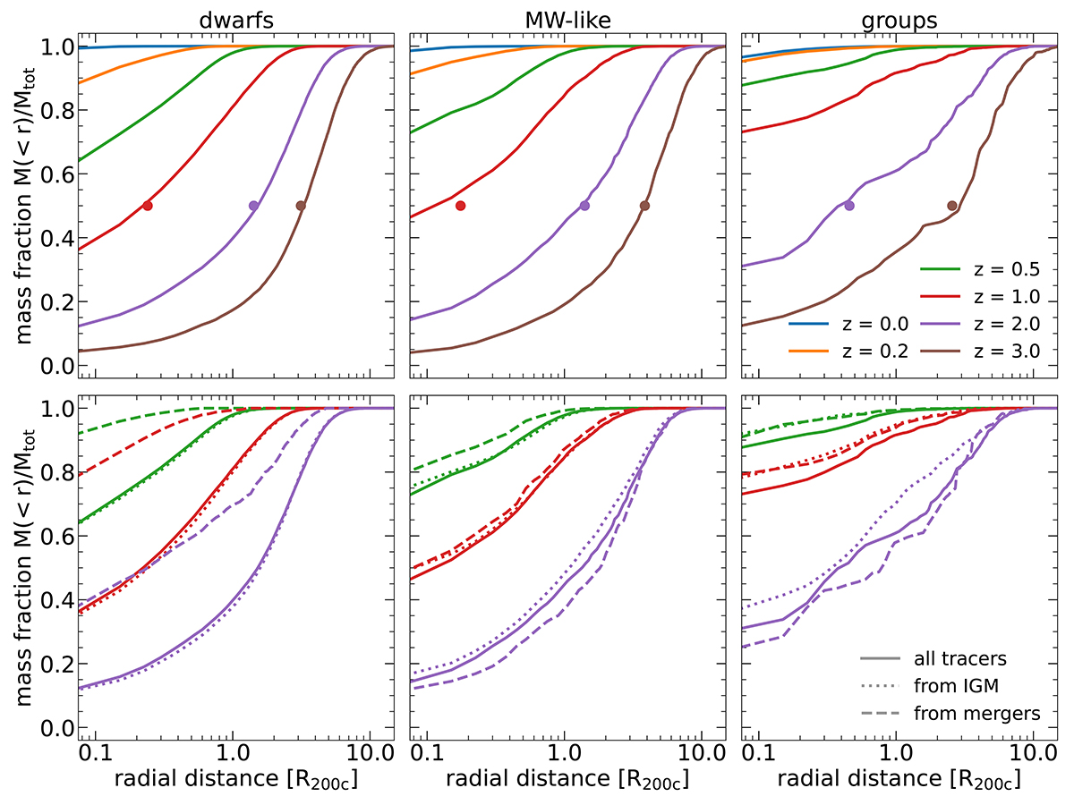
Fig. 7.

image

Download original image

Radial distribution of the baryonic mass that forms the z = 0 in situ stellar mass of dwarf (left column), Milky Way (center) and group (right) galaxies. For each radial bin, we show the total in situ baryonic mass enclosed by a sphere of this radius, normalized to the total in situ stellar mass at z = 0. In the upper row, we display the time evolution, i.e., the collapse of this mass into galaxies with median profiles at six different redshifts. Colored dots correspond to the median galactocentric distance at which the fraction crosses a threshold of 0.5, which we define as the Lagrangian half-mass distance (RL, 1/2). Groups assemble their baryons earlier than lower-mass galaxies and have smaller Lagrangian half-mass distances. In the lower row, we further split a subset of curves based on their origin: baryons accreted from the IGM (dotted) versus mergers (dashed), as well as the total (solid, repeated from the top row). IGM gas collapses into halos from relatively smaller distances as compared to gas contributed by merging galaxies.

Current usage metrics show cumulative count of Article Views (full-text article views including HTML views, PDF and ePub downloads, according to the available data) and Abstracts Views on Vision4Press platform.

Data correspond to usage on the plateform after 2015. The current usage metrics is available 48-96 hours after online publication and is updated daily on week days.

Initial download of the metrics may take a while.