Open Access

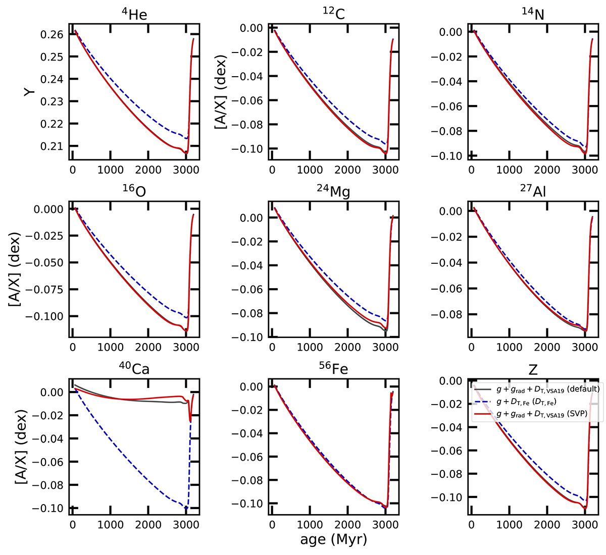
Fig. 2.

image

Download original image

Evolution of the surface abundance of some chemical elements for a 1.4 M model. The solid gray lines represent a default model, the dashed blue lines the model with DT, Fe (Paper I), and the dot-dashed red lines the model that considers the SVP method.

Current usage metrics show cumulative count of Article Views (full-text article views including HTML views, PDF and ePub downloads, according to the available data) and Abstracts Views on Vision4Press platform.

Data correspond to usage on the plateform after 2015. The current usage metrics is available 48-96 hours after online publication and is updated daily on week days.

Initial download of the metrics may take a while.