Open Access

Fig. 1

image

Download original image

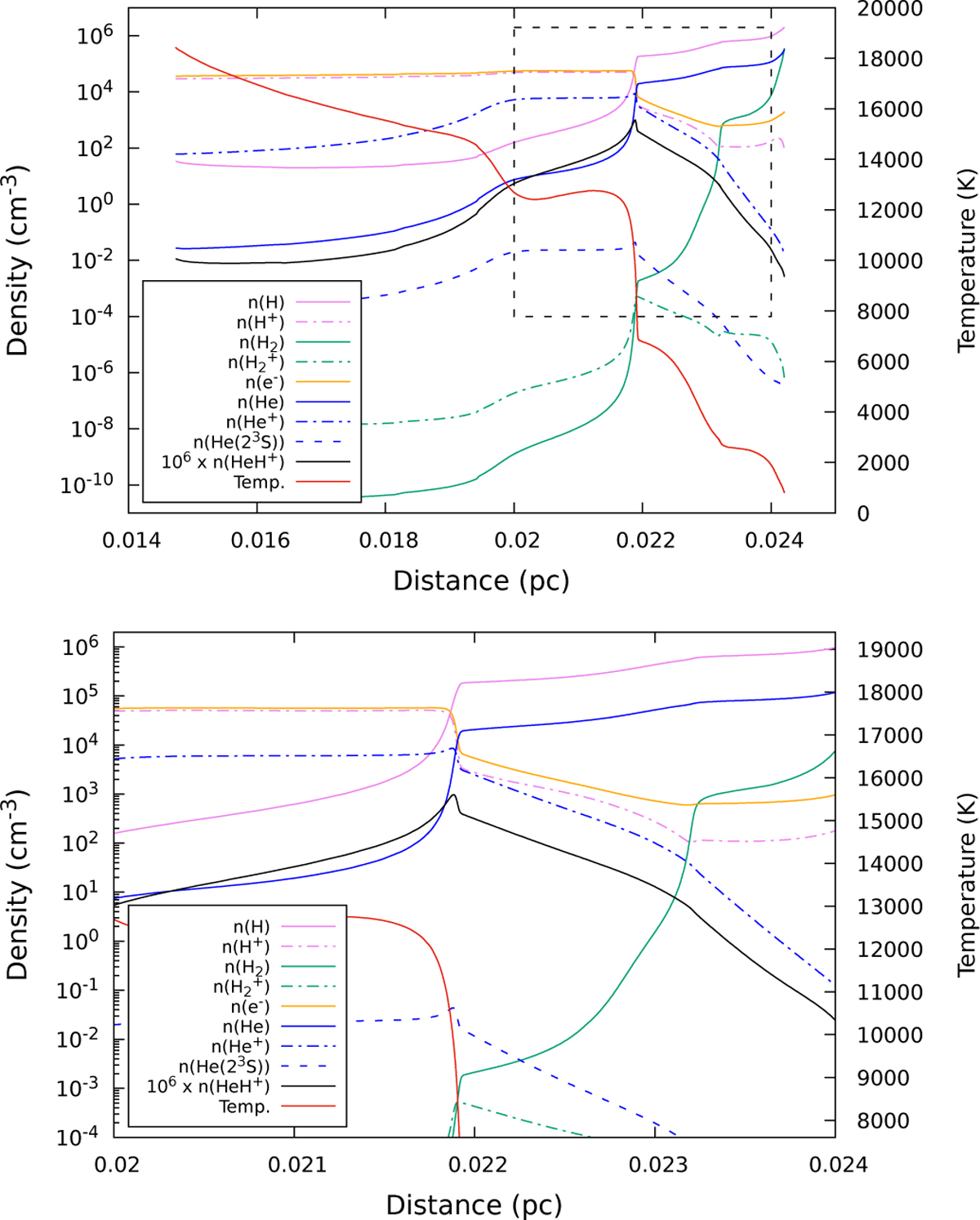
Top panel: equilibrium temperature and densities of H, H+, H2, H2+${\rm{H}}_2^ + $+, e, He, He+, He(2>3S), and HeH+ obtained for an isobaric (gas pressure ~2.16 × 109 K cm−3) CLOUDY model with an initial total hydrogen nuclei density n(Htot) = 2.61 × 104 cm−3 as function of the distance from the star starting from the illuminated face into the depth of the cloud. Bottom panel: zoomed-in view of the top panel in the region close to the Strömgren radii (within the black-colored dashed rectangle).

Current usage metrics show cumulative count of Article Views (full-text article views including HTML views, PDF and ePub downloads, according to the available data) and Abstracts Views on Vision4Press platform.

Data correspond to usage on the plateform after 2015. The current usage metrics is available 48-96 hours after online publication and is updated daily on week days.

Initial download of the metrics may take a while.