Open Access

Fig. 2.

image

Download original image

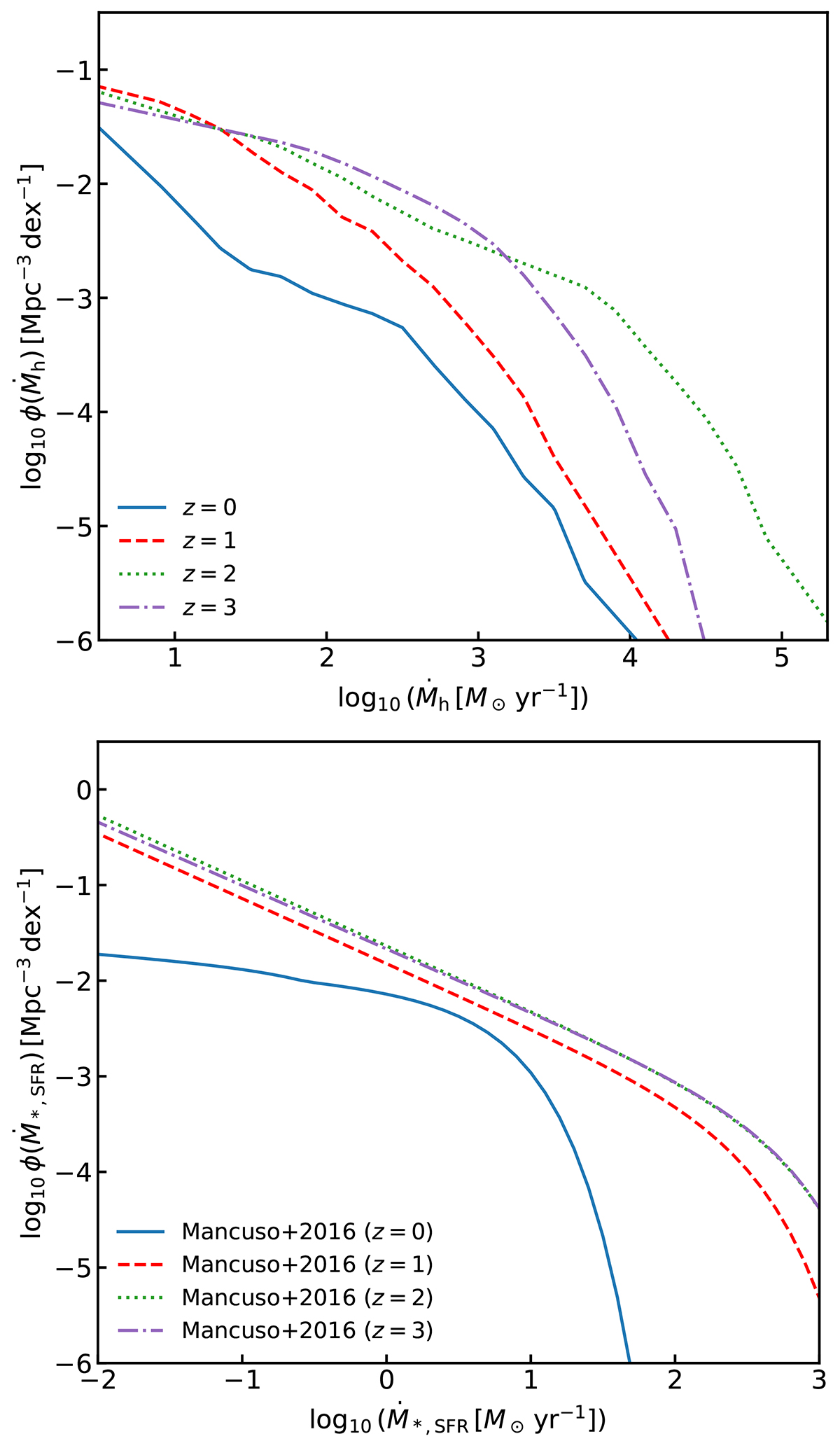
Upper panel: Halo accretion rate function at redshifts z = 0, 1, 2 and 3, for the halo quenching scenario where haloes hosting star-forming galaxies are removed by the mass threshold Mh ∼ 1012M. Lower panel: Star formation rate function from Mancuso et al. (2016) in the same redshift bins, as labelled.

Current usage metrics show cumulative count of Article Views (full-text article views including HTML views, PDF and ePub downloads, according to the available data) and Abstracts Views on Vision4Press platform.

Data correspond to usage on the plateform after 2015. The current usage metrics is available 48-96 hours after online publication and is updated daily on week days.

Initial download of the metrics may take a while.