Open Access

Fig. 7

image

Download original image

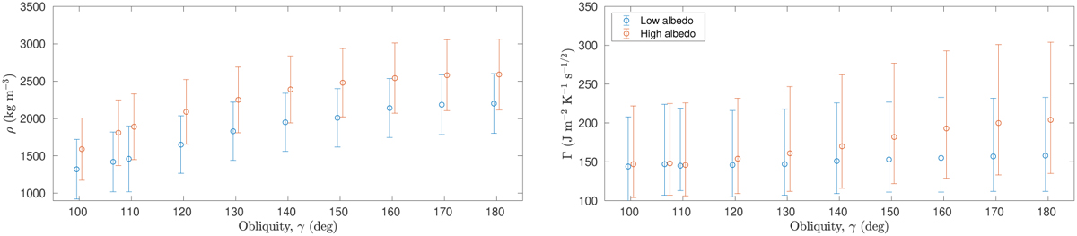
Output values for the density (left panel) and for the thermal inertia (right panel), obtained for input Gaussian distributions of obliquity with values γ = (100 + 10k) ± 10 deg, with k = 1,…, 8, for the low-albedo Model 1 (blue markers) and the high-albedo case Model 3 (red markers).

Current usage metrics show cumulative count of Article Views (full-text article views including HTML views, PDF and ePub downloads, according to the available data) and Abstracts Views on Vision4Press platform.

Data correspond to usage on the plateform after 2015. The current usage metrics is available 48-96 hours after online publication and is updated daily on week days.

Initial download of the metrics may take a while.