Open Access

Fig. 2.

image

Download original image

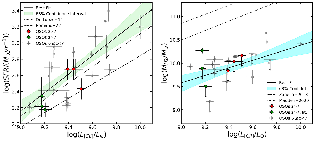
SFR and molecular gas mass vs. [CII] luminosity. Left panel:z > 7 quasars with L[CII] measurements: J1234, J0038, and J0252 (red circles) and J1120, J1342, and J1007 (green circle). Gray dots are the z ≳ 6 quasars from the literature (see Table C.1). The best-fit relation and the relative 68% confidence interval are represented as the solid black line and green-shaded region, respectively. The best-fit parameters of the relation are: slope 1 . 15 0.27 + 0.28 $ 1.15^{+0.28}_{-0.27} $, normalization 8 . 16 0.06 + 0.06 $ -8.16^{+0.06}_{-0.06} $, and intrinsic dispersion 0 . 07 0.02 + 0.03 $ 0.07^{+0.03}_{-0.02} $ dex. The dotted line is the relation from De Looze et al. (2014) for low-metallicity dwarf galaxies in the local Universe. The dashed line is the best-fit relation from Romano et al. (2022) for galaxies from the ALPINE survey (4 < z < 6), including both detections and stacked non-detections. Right panel:z > 7 quasars with L[CII] measurements and MH2 upper limits: J1234, J0038, and J0252 (red circles) and J1342 (green circle); J1007 has both L[CII] and MH2 measurements. MH2 measurements and upper limits for z ≳ 6 quasars from the literature have been homogenized to those presented in this work by assuming a common αCO of 0.8 M pc−2 (K km s−1)−1 and a CO SLED. The best-fit relation and the relative 68% confidence interval are represented as the solid black line and gray-shaded region, respectively. The best-fit intrinsic dispersion of the relation is δ intr = 0 . 10 0.03 + 0.06 $ \delta_{\mathrm{intr}}=0.10^{+0.06}_{-0.03} $ dex. The dashed line is the scaling relation derived by Zanella et al. (2018) for main-sequence (MS) and luminous infrared galaxies, up to z ∼ 6. We also report the scaling relation provided by Madden et al. (2020) for local dwarf galaxies (dotted line).

Current usage metrics show cumulative count of Article Views (full-text article views including HTML views, PDF and ePub downloads, according to the available data) and Abstracts Views on Vision4Press platform.

Data correspond to usage on the plateform after 2015. The current usage metrics is available 48-96 hours after online publication and is updated daily on week days.

Initial download of the metrics may take a while.