Open Access

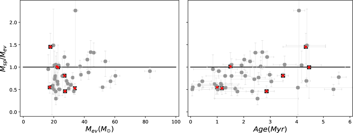
Fig. 7

image

Download original image

Msp/Mev relation against Mev (left) and age (right) for our sample of O-stars in Car OB1. Evolutionary masses were obtained from the BONNSAI tool (using nonrotating evolutionary Bonn tracks at solar metallicity). Solid black lines indicate the relation Msp/Mev = 1. Squares and red points indicate the fast-rotating objects with v sin i > 200 km s−1.

Current usage metrics show cumulative count of Article Views (full-text article views including HTML views, PDF and ePub downloads, according to the available data) and Abstracts Views on Vision4Press platform.

Data correspond to usage on the plateform after 2015. The current usage metrics is available 48-96 hours after online publication and is updated daily on week days.

Initial download of the metrics may take a while.