Open Access

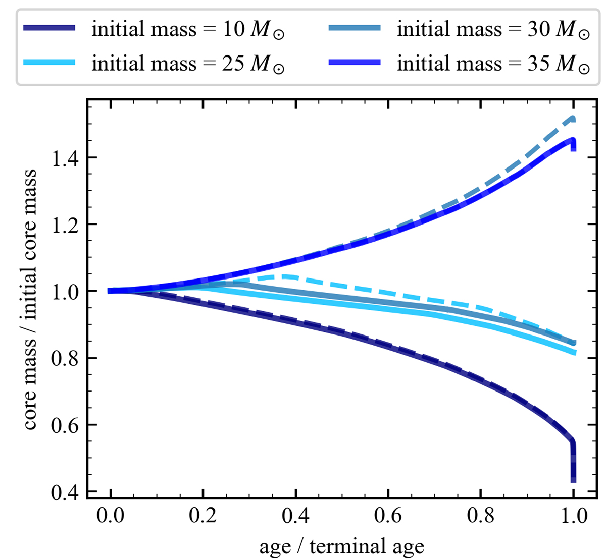
Fig. 9.

image

Download original image

Core mass evolution of a single star model with fixed rotational velocity for different initial masses. The solid lines denote num_cells_for_smooth_gradL_composition_term = 2, and the dashed lines have num_cells_for_smooth_gradL _composition_term = 5.

Current usage metrics show cumulative count of Article Views (full-text article views including HTML views, PDF and ePub downloads, according to the available data) and Abstracts Views on Vision4Press platform.

Data correspond to usage on the plateform after 2015. The current usage metrics is available 48-96 hours after online publication and is updated daily on week days.

Initial download of the metrics may take a while.