Open Access

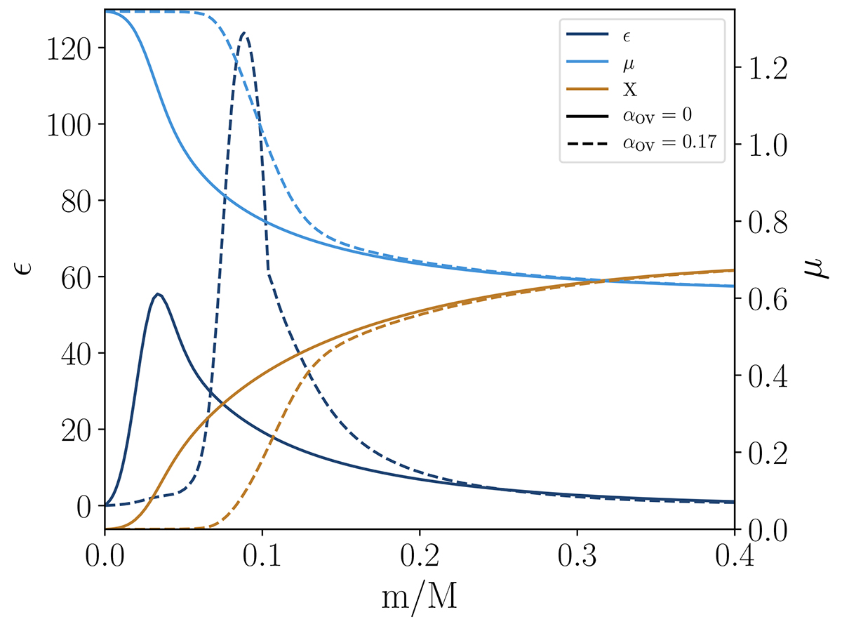
Fig. 10.

image

Download original image

Comparison of the energy produced by nuclear reactions (in erg g−1s−1, dark blue) as a function of the reduced mass for two stars at the TAMS (set at Xc = 10−4) for models with the best composition (X0 = 0.70 − Z0 = 0.017) with (dashed lines) and without overshooting (continuous lines). We also display the mean molecular weight (light blue) and hydrogen (light brown) profiles.

Current usage metrics show cumulative count of Article Views (full-text article views including HTML views, PDF and ePub downloads, according to the available data) and Abstracts Views on Vision4Press platform.

Data correspond to usage on the plateform after 2015. The current usage metrics is available 48-96 hours after online publication and is updated daily on week days.

Initial download of the metrics may take a while.