Open Access

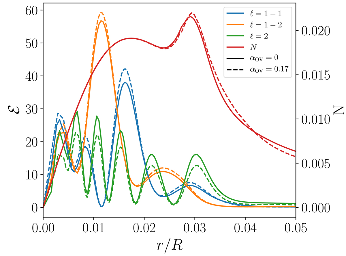
Fig. 16.

image

Download original image

Energy density (Eq. (13)) (normalised to 1) as a function of r of the two dipolar g-dominated mixed modes: ν ∼ 750 μHz, denoted  = 1 − 1 (in blue) and ν ∼ 950 μHz, denoted  = 1 − 2 (in orange), and of the only quadrupolar g-dominated mixed mode, denoted  = 2 (in green). The Brunt-Väisälä frequency is also shown in red. These quantities are displayed for two of our best models, either without convective overshooting (continuous lines) or with the optimised overshooting parameter of αov = 0.17 (dashed line).

Current usage metrics show cumulative count of Article Views (full-text article views including HTML views, PDF and ePub downloads, according to the available data) and Abstracts Views on Vision4Press platform.

Data correspond to usage on the plateform after 2015. The current usage metrics is available 48-96 hours after online publication and is updated daily on week days.

Initial download of the metrics may take a while.