Open Access

Fig. 4

image

Download original image

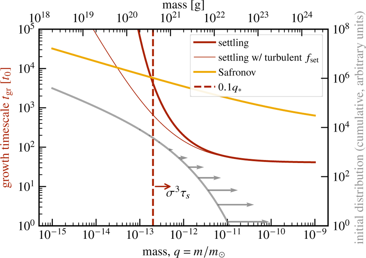
Growth timescales for pebble accretion (settling mechanism, red) and Safronov accretion (gravitational focusing in the absence of gas drag; yellow) for a velocity parameter of σ = Δv/vK = 10−3, dimensionless stopping time τs = 2 × 10−3, and internal density parameter χ = 5 × 10−4. The critical mass q* = σ3 τs (or rather a fraction of this number; vertical dashed line) indicates the point where the settling mechanism becomes operational. In the case where the approach velocity is due to turbulence, such that Δv follows a distribution, the transition is more gradual (thin red line). Pebble accretion acts on the high-mass tail of the distribution where the length of the arrows is proportional to the growth rate (Equation (10); gray).

Current usage metrics show cumulative count of Article Views (full-text article views including HTML views, PDF and ePub downloads, according to the available data) and Abstracts Views on Vision4Press platform.

Data correspond to usage on the plateform after 2015. The current usage metrics is available 48-96 hours after online publication and is updated daily on week days.

Initial download of the metrics may take a while.