Open Access

Fig. 7

image

Download original image

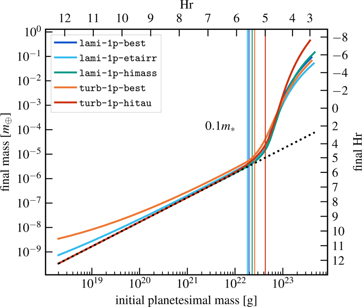
Final vs initial mass for several simulation runs (see Table 3). The vertical lines denote 10% of m* = σ3 τsm, which is the scale where pebble accretion begins. The dashed line is the identity line (y = x). Bodies ≳1022 grow their mass by several tenfold by pebble accretion and become dwarf planets. The gain in mass at low mass in the lami-1p-etairr and turb-1p-best is due to the slow pace of pebble accretion, allowing Safronov interactions to become important at low planetesimal masses.

Current usage metrics show cumulative count of Article Views (full-text article views including HTML views, PDF and ePub downloads, according to the available data) and Abstracts Views on Vision4Press platform.

Data correspond to usage on the plateform after 2015. The current usage metrics is available 48-96 hours after online publication and is updated daily on week days.

Initial download of the metrics may take a while.