Open Access

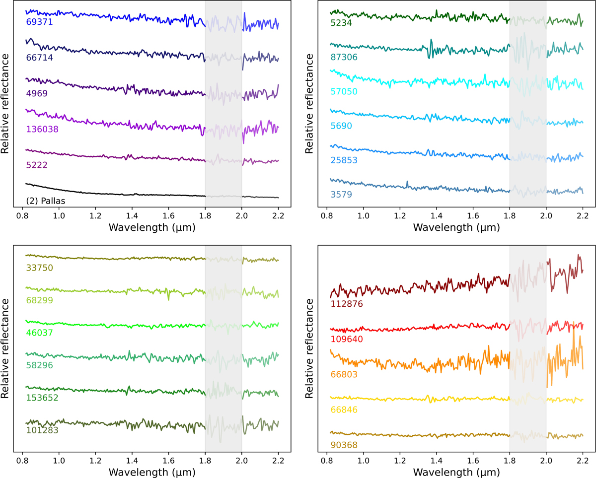
Fig. 1

image

Download original image

NIR spectral profiles of 23 asteroids normalized to unity at 1.0 µm. The spectra beyond 2.2 µm are truncated due to insufficient signal-to-noise. Note the spectra of objects (109640) and (112876), which exhibit comparatively redder slopes; as such, we identify them as possible outliers in the dataset. The gray zone marks the spectral region that is severely affected by atmospheric absorptions. The spectrum of Pallas is taken from Clark et al. (2010).

Current usage metrics show cumulative count of Article Views (full-text article views including HTML views, PDF and ePub downloads, according to the available data) and Abstracts Views on Vision4Press platform.

Data correspond to usage on the plateform after 2015. The current usage metrics is available 48-96 hours after online publication and is updated daily on week days.

Initial download of the metrics may take a while.