Open Access

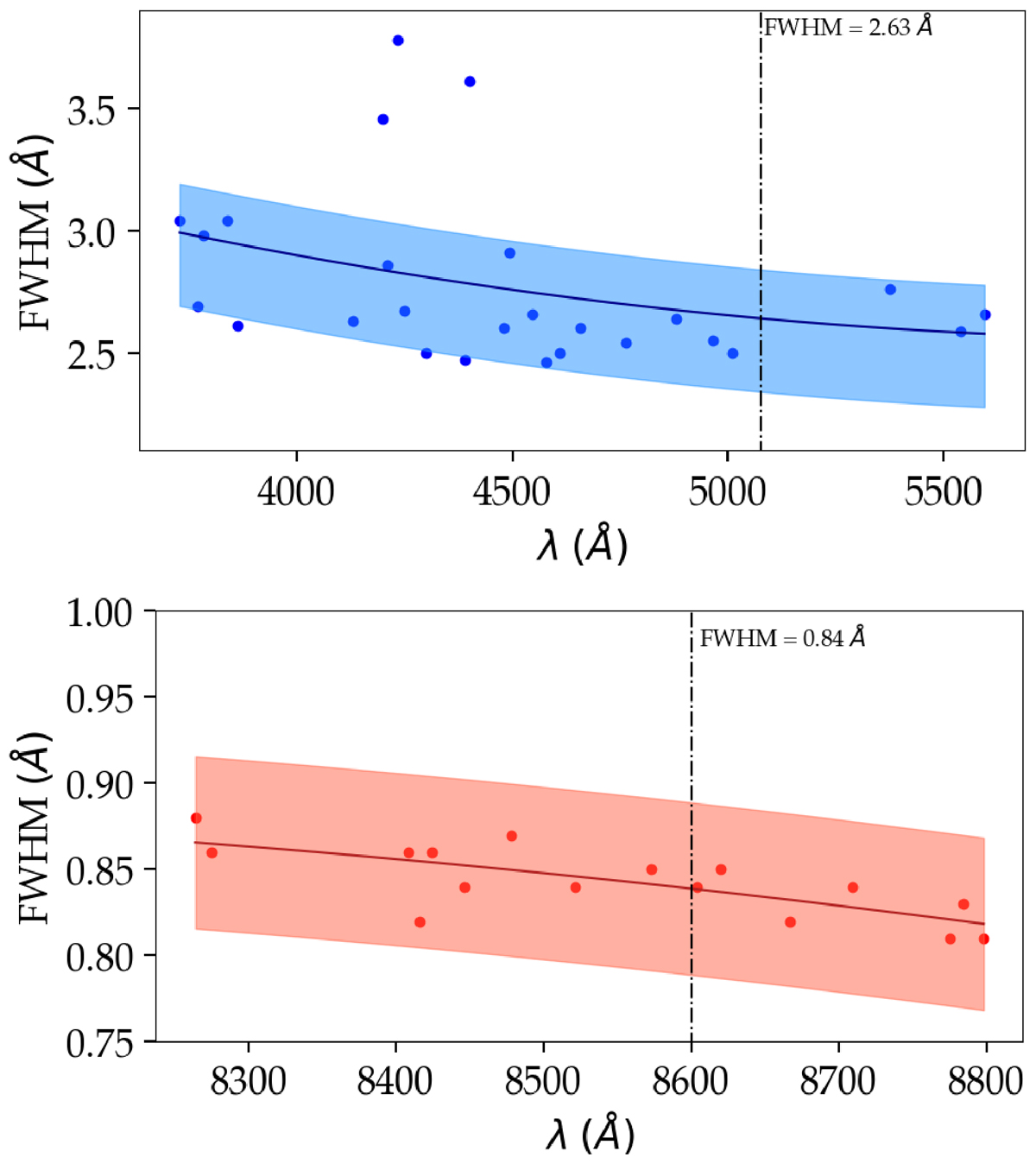
Fig. A.1.

image

Download original image

Spectral resolution profiles (line spread function) of KCWI. The profiles are provided by the FWHM as a function of wavelength. The resolution adopted for the blue side is 2.63 Å (R = 1908) at 5075 Å. For the red side, the resolution is nearly constant across the spectrum with an adopted resolution of 0.84 Å (R = 10238) at 8600 Å.

Current usage metrics show cumulative count of Article Views (full-text article views including HTML views, PDF and ePub downloads, according to the available data) and Abstracts Views on Vision4Press platform.

Data correspond to usage on the plateform after 2015. The current usage metrics is available 48-96 hours after online publication and is updated daily on week days.

Initial download of the metrics may take a while.