Open Access

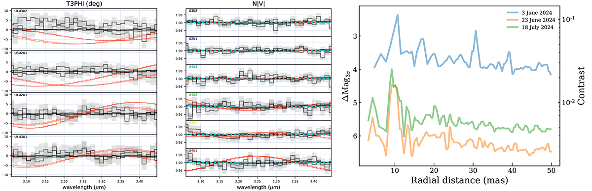
Fig. A.5.

image

Download original image

Left and central panels: Simulated CPs (T3PHI) and normalized visibility (N|V|) for a 5% flux companion (red curves) injected in the data collected on 18 July 2024 (gray curves). Right panel: Contrast limits from CANDID as a function of the distance from the star for the three epochs in medium resolution. The contrast with 90% confidence is shown in magnitude difference (left axis) and contrast (right axis).

Current usage metrics show cumulative count of Article Views (full-text article views including HTML views, PDF and ePub downloads, according to the available data) and Abstracts Views on Vision4Press platform.

Data correspond to usage on the plateform after 2015. The current usage metrics is available 48-96 hours after online publication and is updated daily on week days.

Initial download of the metrics may take a while.