Open Access

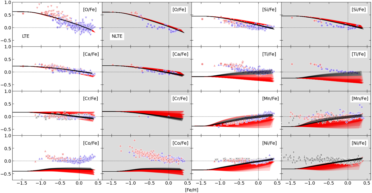
Fig. A.1

image

Download original image

GCE tracks for N13 CCSN yields with different SN Ia yield combinations (see Section 4.2 for details) with no contribution from SNe Iax. The GCE tracks with black lines indicate the models that have a χ2 score in 84th percentile. Observational data are the same as in Fig. 2 & 3.

Current usage metrics show cumulative count of Article Views (full-text article views including HTML views, PDF and ePub downloads, according to the available data) and Abstracts Views on Vision4Press platform.

Data correspond to usage on the plateform after 2015. The current usage metrics is available 48-96 hours after online publication and is updated daily on week days.

Initial download of the metrics may take a while.