Open Access

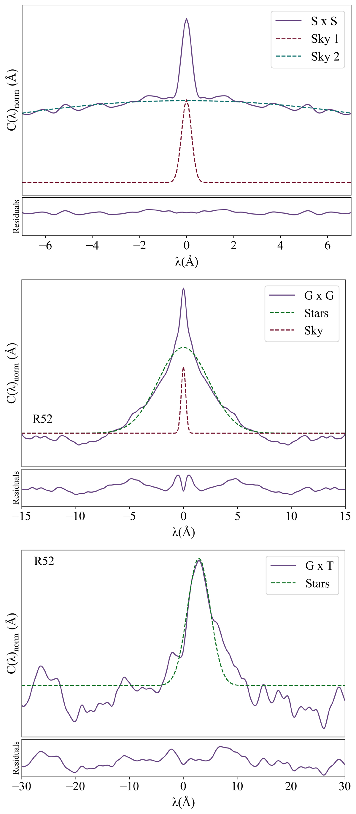
Fig. 7.

image

Download original image

Upper panel: auto-cross correlation function of the sky template. Medium panel: auto-cross correlation of the spectrum of region R52. Bottom panel: cross correlation between the cluster spectrum and the stellar template. The lower panel of each plot shows the residuals of the fitting.

Current usage metrics show cumulative count of Article Views (full-text article views including HTML views, PDF and ePub downloads, according to the available data) and Abstracts Views on Vision4Press platform.

Data correspond to usage on the plateform after 2015. The current usage metrics is available 48-96 hours after online publication and is updated daily on week days.

Initial download of the metrics may take a while.