Open Access

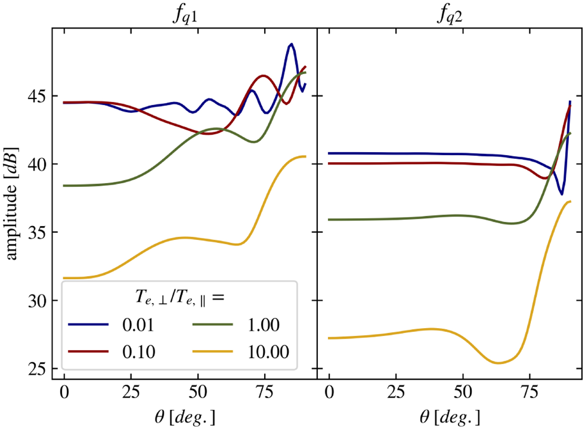
Fig. 11

image

Download original image

Amplitude of the maxima at the first two fqn frequencies as a function of the angle between the magnetic field and the antenna emission-reception direction, for a monopolar geometry such as the one presented in Fig. 9. The amplitude increases as the angle approaches 90 degrees.

Current usage metrics show cumulative count of Article Views (full-text article views including HTML views, PDF and ePub downloads, according to the available data) and Abstracts Views on Vision4Press platform.

Data correspond to usage on the plateform after 2015. The current usage metrics is available 48-96 hours after online publication and is updated daily on week days.

Initial download of the metrics may take a while.