Open Access

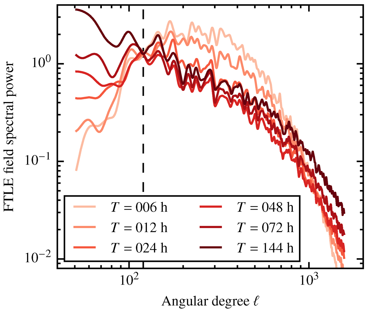
Fig. 5.

image

Download original image

Spherical harmonics spectra of the FTLE field for different target times. The spectra are normalised to one at the standard supergranulation angular degree scale  = 120 (dashed vertical line) to highlight the pivot of the spectrum towards larger physical angular scales on longer times.

Current usage metrics show cumulative count of Article Views (full-text article views including HTML views, PDF and ePub downloads, according to the available data) and Abstracts Views on Vision4Press platform.

Data correspond to usage on the plateform after 2015. The current usage metrics is available 48-96 hours after online publication and is updated daily on week days.

Initial download of the metrics may take a while.