Open Access

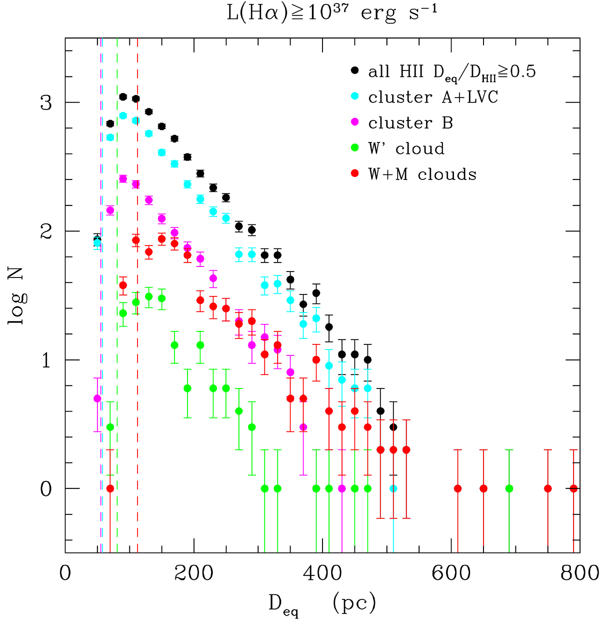
Fig. 13.

image

Download original image

Distribution of the equivalent diameters corrected for seeing effects equivalent diameters for H II regions with L(Hα)≥1037 erg s−1. The different colours are for galaxies belonging to different cluster substructures: cyan for cluster A and LVC, 16.5 Mpc; magenta for cluster B, 15.8 Mpc; green for W′ cloud, 23 Mpc; and red for W and M clouds, 32 Mpc. The dashed vertical lines show the equivalent diameter corresponding to the mean seeing of the survey at the distance of the different cluster substructures.

Current usage metrics show cumulative count of Article Views (full-text article views including HTML views, PDF and ePub downloads, according to the available data) and Abstracts Views on Vision4Press platform.

Data correspond to usage on the plateform after 2015. The current usage metrics is available 48-96 hours after online publication and is updated daily on week days.

Initial download of the metrics may take a while.