Open Access

Fig. C.1.

image

Download original image

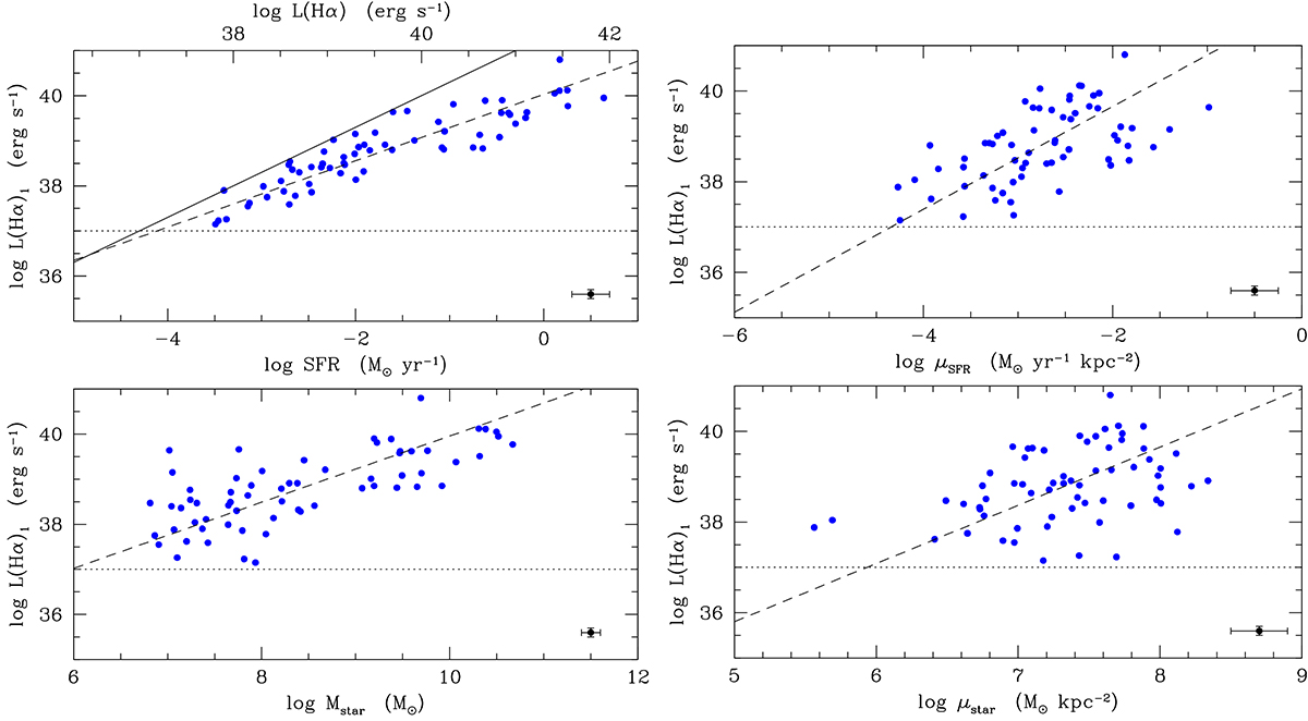
Relation between the Hα luminosity of the brightest H II region and the total star formation rate (upper left panel), total stellar mass (lower left), mean star formation rate surface density (upper right), and mean stellar mass surface density (lower right) of the host galaxies. The black dashed line shows the best fit to the data (bisector fit), the dotted line the limiting Hα luminosity of the selected sample (L() ≥ 1037 erg s−1), and the solid black line the L()1L() physical limit in the relation. The dot in the lower right corner shows the typical error bar in the data.

Current usage metrics show cumulative count of Article Views (full-text article views including HTML views, PDF and ePub downloads, according to the available data) and Abstracts Views on Vision4Press platform.

Data correspond to usage on the plateform after 2015. The current usage metrics is available 48-96 hours after online publication and is updated daily on week days.

Initial download of the metrics may take a while.