Open Access

Fig. 3.

image

Download original image

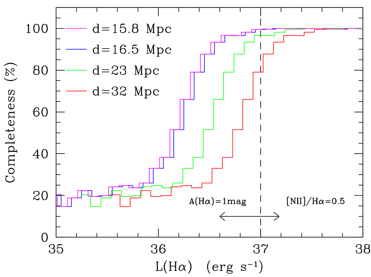
Completeness function in luminosity of the H II regions detected by HIIPHOT for galaxies belonging to the different substructures of the cluster located at 15.8 (cluster B, C; magenta), 16.5 (cluster A, LVC; blue), 23 (W′ cloud; green), and 32 Mpc (W and M clouds; red), respectively. The vertical dashed line shows the limit in Hα luminosity adopted to define a complete sample where statistical properties are derived. The black arrows show how the position of a limiting Hα luminosity L(Hα) = 1037 erg s−1 should be shifted for a dust attenuation of A(Hα) = 1 mag or a [N II] contamination of [N II]/Hα = 0.5 (for reference, the measured values for NGC 4321 used for this test are A(Hα) = 0.85 mag and [N II]/Hα = 0.48).

Current usage metrics show cumulative count of Article Views (full-text article views including HTML views, PDF and ePub downloads, according to the available data) and Abstracts Views on Vision4Press platform.

Data correspond to usage on the plateform after 2015. The current usage metrics is available 48-96 hours after online publication and is updated daily on week days.

Initial download of the metrics may take a while.