Open Access

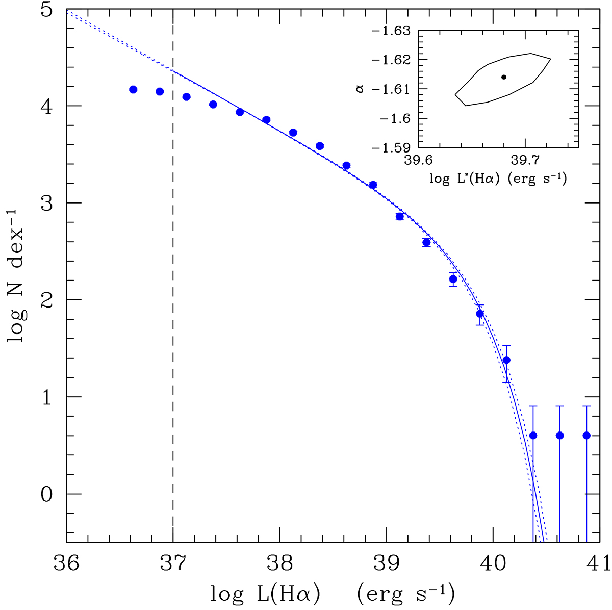
Fig. 7.

image

Download original image

Composite luminosity function of the H II regions detected by HIIPHOT on the selected galaxies. The Hα luminosities of individual H II regions have been corrected for dust attenuation and [N II] contamination as described in Sect. 3.2. The solid and dotted lines indicate the best-fit and 1σ confidence regions for the Schechter luminosity function parametrisation. The vertical dashed line shows the completeness of the survey. The small panel in the top right corner indicates the 1σ probability distribution of the fitted Schechter function parameters.

Current usage metrics show cumulative count of Article Views (full-text article views including HTML views, PDF and ePub downloads, according to the available data) and Abstracts Views on Vision4Press platform.

Data correspond to usage on the plateform after 2015. The current usage metrics is available 48-96 hours after online publication and is updated daily on week days.

Initial download of the metrics may take a while.