Open Access

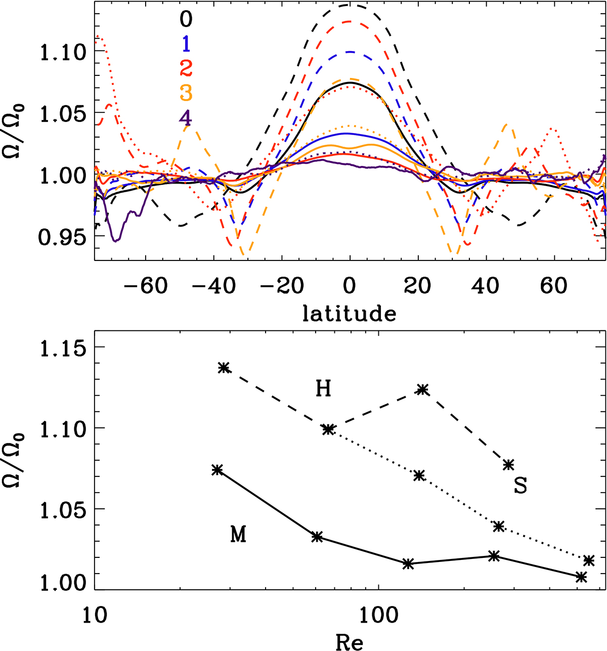
Fig. 10.

image

Download original image

Differential rotation of all runs near the surface (r = 0.98 R). At the top we plot Ω/Ω0 as function of latitude. As before, the solid lines show M runs, dotted lines show S runs and the dashed lines show H runs, while the colors indicate the run sets with different Re. At the bottom, we plot Ω/Ω0 at the equator (θ = π/2) as a function of Re.

Current usage metrics show cumulative count of Article Views (full-text article views including HTML views, PDF and ePub downloads, according to the available data) and Abstracts Views on Vision4Press platform.

Data correspond to usage on the plateform after 2015. The current usage metrics is available 48-96 hours after online publication and is updated daily on week days.

Initial download of the metrics may take a while.