Open Access

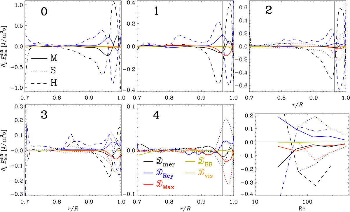
Fig. 12.

image

Download original image

Contributions to the differential rotation energy evolution averaged in time and latitude for all run sets (0 – 4) as functions of r/R (see Eqs. (21)–(25)). The bottom rightmost panel shows the contributions as functions of Re at r/R = 0.96 (the vertical line in the other panels).

Current usage metrics show cumulative count of Article Views (full-text article views including HTML views, PDF and ePub downloads, according to the available data) and Abstracts Views on Vision4Press platform.

Data correspond to usage on the plateform after 2015. The current usage metrics is available 48-96 hours after online publication and is updated daily on week days.

Initial download of the metrics may take a while.