Open Access

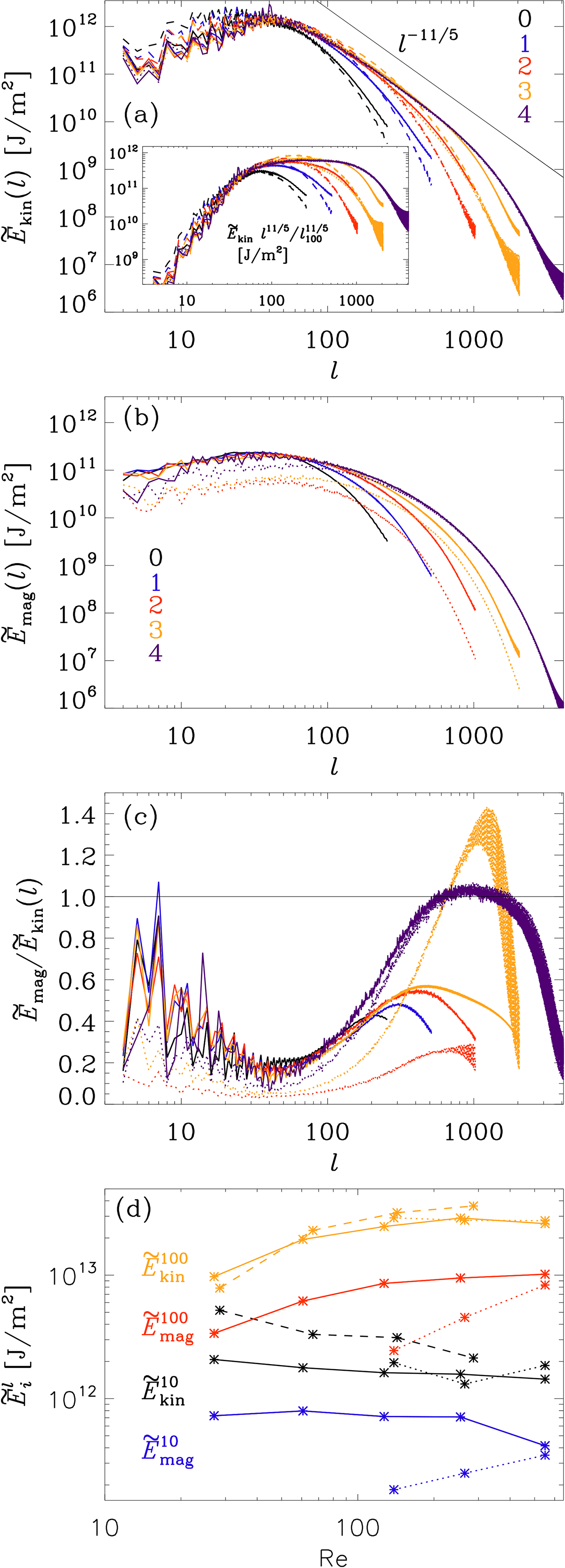
Fig. 8.

image

Download original image

Spectra of kinetic (a) and magnetic (b) energy density along with their ratio (c) near the surface, r = 0.98 R, all excluding the m = 0 contribution. As before the solid lines show M runs, the dotted lines show S runs and the dashed lines show H runs, while different colors indicate run sets with distinct Re. Panel (d) highlights the Re dependence of the kinetic and magnetic spectra for l = 10 and 100.

Current usage metrics show cumulative count of Article Views (full-text article views including HTML views, PDF and ePub downloads, according to the available data) and Abstracts Views on Vision4Press platform.

Data correspond to usage on the plateform after 2015. The current usage metrics is available 48-96 hours after online publication and is updated daily on week days.

Initial download of the metrics may take a while.