Open Access

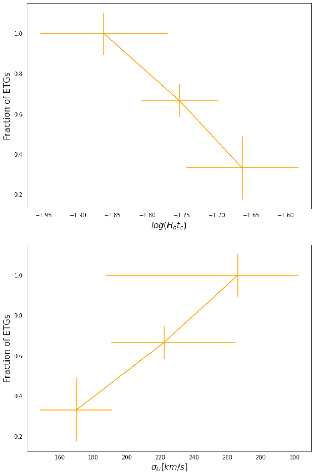
Fig. 5.

image

Download original image

Median fraction of ETGs as a function of the median crossing time (top panel) and velocity dispersion (bottom panel). The median values are estimated from three bins for the ETG fraction: 0−0.33, 0.33−0.66, and 0.66−1. For each x-bin, we identified all CGs and estimated the median fraction of ETGs, along with the median values of σG and Hotc. The error bars indicate the statistical uncertainty of a 90% confidence interval, which was determined using bootstrapping.

Current usage metrics show cumulative count of Article Views (full-text article views including HTML views, PDF and ePub downloads, according to the available data) and Abstracts Views on Vision4Press platform.

Data correspond to usage on the plateform after 2015. The current usage metrics is available 48-96 hours after online publication and is updated daily on week days.

Initial download of the metrics may take a while.