Open Access

Fig. 19.

image

Download original image

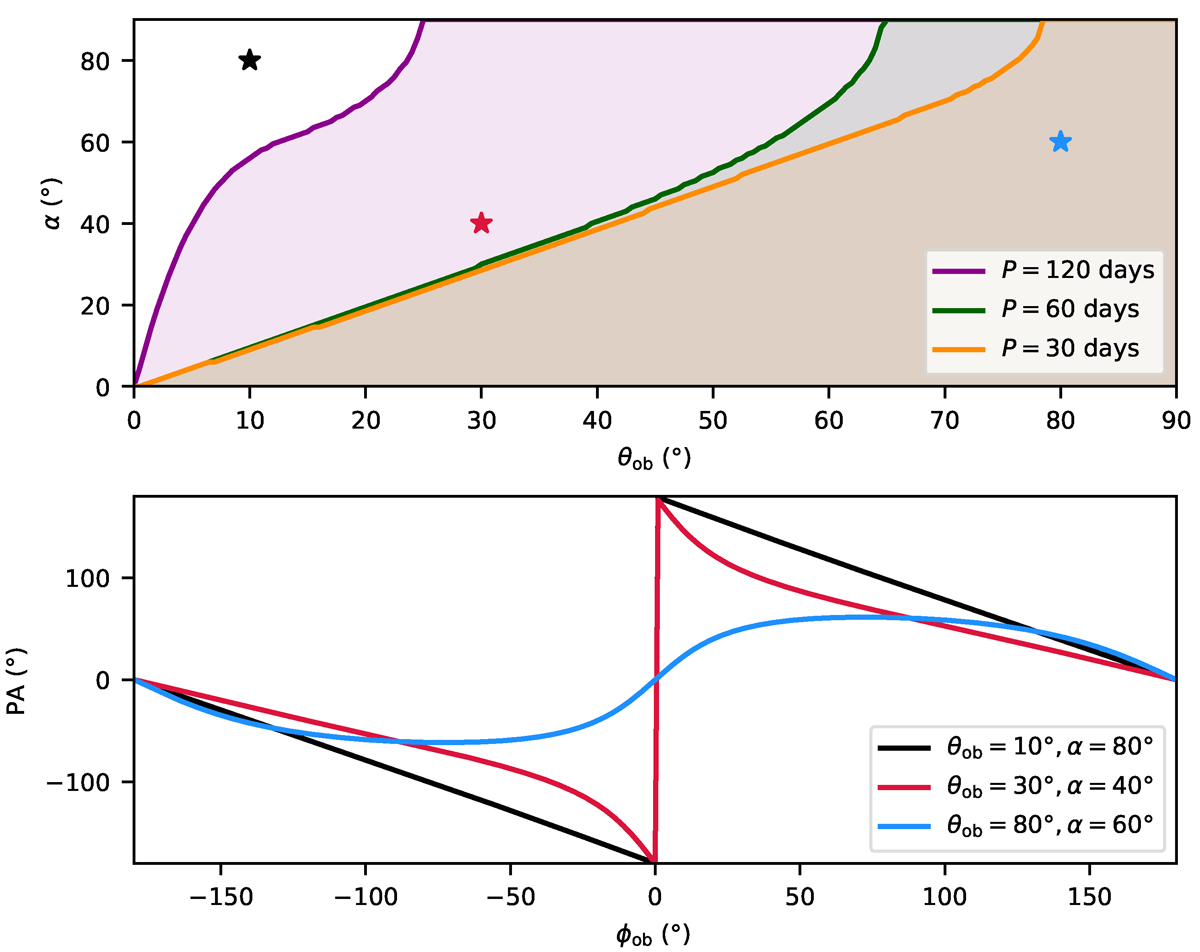
Top: Constraints on the magnetospheric geometry placed by constant median single-burst PA during the four-day observing epoch from the F21 activity window (Jiang et al. 2022). The shaded areas encompass inclination–viewing angle pairs related to three trial values of spin period P (see legend). For each of these areas, the maximum PA variation was less than 10° in at least one of the spin phase regions spanning 4 days/P. The stars mark three representative geometries whose PA curves are shown in the bottom plot. Geometries that approach aligned rotators and have small viewing angles predominantly show larger PA gradients than allowed by the observations, unless the spin period exceeds several months.

Current usage metrics show cumulative count of Article Views (full-text article views including HTML views, PDF and ePub downloads, according to the available data) and Abstracts Views on Vision4Press platform.

Data correspond to usage on the plateform after 2015. The current usage metrics is available 48-96 hours after online publication and is updated daily on week days.

Initial download of the metrics may take a while.