Open Access

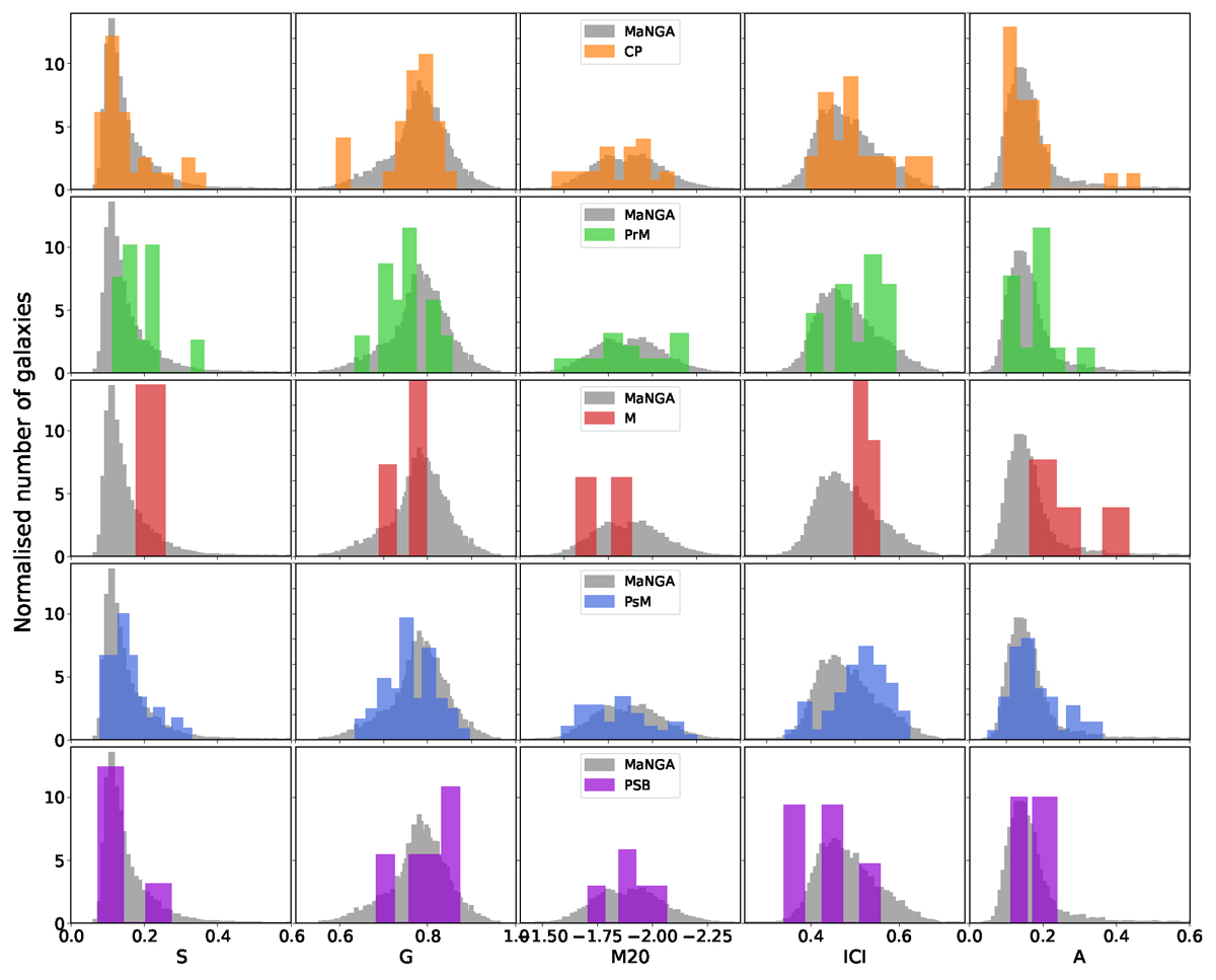
Fig. C.2.

image

Download original image

Distribution of the non-parametric image morphological parameters for galaxies in our sample, with different colour as a function of their merger stage, according to the legend. From left-to right: Clumpiness (S), Gini index (G), Moment of light (M20), inverse concentration index (ICI), and asymmetry (A). The distribution of the same parameters for all MaNGA galaxies is shown (in grey) for reference.

Current usage metrics show cumulative count of Article Views (full-text article views including HTML views, PDF and ePub downloads, according to the available data) and Abstracts Views on Vision4Press platform.

Data correspond to usage on the plateform after 2015. The current usage metrics is available 48-96 hours after online publication and is updated daily on week days.

Initial download of the metrics may take a while.