Open Access

Fig. 5.

image

Download original image

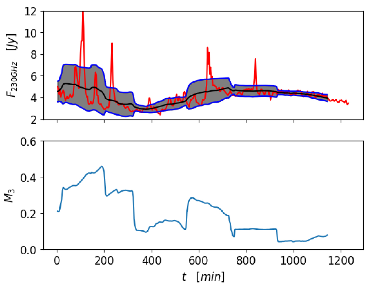
Top panel: Simulated light curve at 230 GHz (red line), the moving average of the simulated light curve (m3, in a time window of 3 hours; black line), and the 1s3 standard deviation (gray area). Lower panel: Measure of the variability of the simulated light curve (M3), defined as M3 = s3/m3.

Current usage metrics show cumulative count of Article Views (full-text article views including HTML views, PDF and ePub downloads, according to the available data) and Abstracts Views on Vision4Press platform.

Data correspond to usage on the plateform after 2015. The current usage metrics is available 48-96 hours after online publication and is updated daily on week days.

Initial download of the metrics may take a while.